
正文
構筑C-N鍵以制備芳香胺類化合物已成為全球范圍內學術界和工業界廣泛關注的五大反應之一。早在20世紀初,過渡金屬催化就在胺類化合物和鹵代芳烴的偶聯反應中嶄露頭角,如Ullmann芳胺化、Buchwald-Hartwig偶聯和Chan-Lam偶聯更是在這一領域中獲得了非常廣泛的應用(圖1a)。然而,盡管它們用途廣泛,這些反應卻離不開使用預制備鹵代芳烴或者芳基硼酸酯,過渡金屬催化劑和配體。從產物中去除過渡金屬殘留也一直是制藥工業中長期面臨的挑戰之一。近幾年,自由基反應在C(sp2)-H鍵官能化中展現出獨特優勢,特別是通過自由基偶聯策略在構建C-N鍵中表現出巨大的潛力(圖1b)。但是,由于自由基偶聯策略的成功應用需要自由基的極性必須與芳烴相匹配,缺電子N自由基易與富電子芳烴反應而不易和缺電子芳烴如硝基芳烴反應,反之亦然。這也導致目前為止自由基加成反應的底物范圍通常不好。同時,反應中底物極性匹配的要求也導致了大多數芳烴C-H鍵官能化時得到多種反應位點選擇性的混合物。
南昌大學化學化工學院蔡琥教授團隊與與武漢大學雷愛文教授近期合作,使用穩定、低成本且市售易得的硝基芳烴作為鹵代芳香烴和芳香硼酸的等價體,在無需過渡金屬催化劑和光電的條件下,首次實現了硝基芳烴與胺的高對位選擇性自由基偶聯芳胺化反應(圖1c)。該策略對一系列官能團兼容,并可實現克量級擴大規模的制備,不僅解決了自由基偶聯策略中自由基與芳烴的極性匹配要求導致底物局限于富電子芳烴和芳烴芳胺化時得到多種反應位點選擇性混合物的難題,同時也避免了從產物中去除過渡金屬殘留這一制藥工業中長期面臨的挑戰。

圖1. 芳胺化反應研究。圖片來源:Nat. Commun.
在優化的條件下,作者對硝基芳烴的高選擇性對位自由基偶聯芳胺化反應進行了底物范圍考察(圖2)。含有多種官能團的伯、仲芳胺甚至吲哚在反應體系中都能被良好兼容。相比于芳胺,脂肪胺(如烷基胺、吡咯烷、嗎啉等)作為自由基前體形成的氮自由基穩定性差,通常會發生自由基移位,形成穩定的α-氨基烷基自由基。然而,含有多種官能團的伯、仲脂肪胺依然能夠在該反應體系中被良好兼容。

圖2. 胺類底物拓展。圖片來源:Nat. Commun.
硝基芳烴作為一類重要的有機合成子,在藥物、染料、材料等領域都發揮著重要作用。為此,作者也深入探討了硝基芳烴類底物的范圍。在溫和的條件下,該反應仍然獲得高選擇性對位自由基偶聯芳胺化產物,并表現出很好的官能團耐受性(圖3)。在苯環的鄰位或間位上,給電子基團(-Me,-OMe,-SMe)和吸電子基團(-F,-Cl,-Br,-CN,-NO2,-CF3,-CONH2,-COOMe)都在強堿條件下具有良好的兼容性。

圖3. 硝基芳烴類底物拓展。圖片來源:Nat. Commun.
為了探究反應機理,作者進行了一系列的驗證實驗,并證明該反應經歷了自由基偶聯過程(圖4)。在反應體系中,堿和O2均是必須的,并且與光無關。在標準條件下,單獨加入苯胺只會生成經由苯胺氮自由基偶聯的產物偶氮苯。對于脂肪胺類底物而言,堿的種類至關重要:tBuONa作為堿時僅會生成氧化偶氮苯;然而,當使用tBuOK作為堿時反應才能夠有效地進行。此外,自由基時鐘實驗進一步證明了該反應經歷了自由基過程。

圖4. 反應機理探究。圖片來源:Nat. Commun.
同時,作者還利用電子順磁共振(EPR)也進一步驗證了自由基機理(圖5)。在反應體系中加入1a-1會產生氮自由基,但當沒有2a發生偶聯反應時,氮自由基在DMSO/tBuONa/O2體系中很容易通過Korcek’s radical-trapping antioxidant(RTA)過程轉化為N-O自由基(g = 2.0054,AN = 11.5 G)。此外,堿和O2對于氮自由基的形成是必不可少的。

圖5. EPR測試。圖片來源:Nat. Commun.
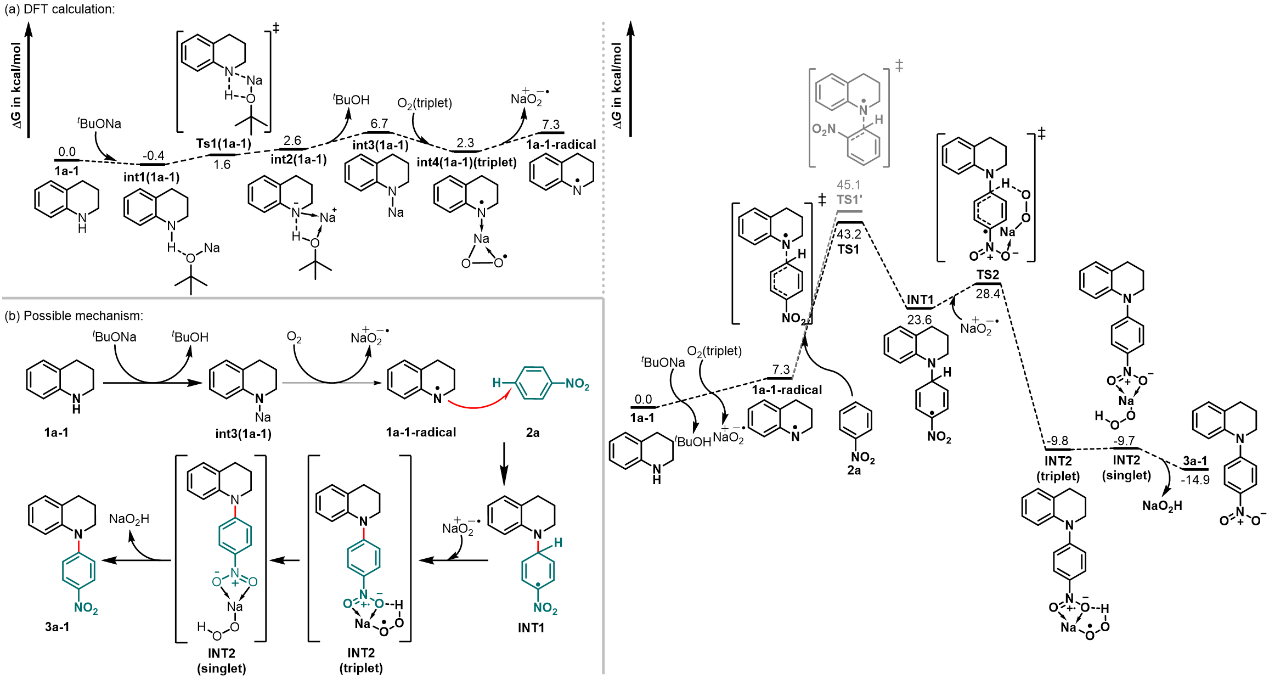
通過密度泛函理論(DFT)計算,作者得知:在tBuONa/DMSO/O2體系中,1a-1-radical可以選擇進攻2a中硝基的對位或鄰位,從而會對應產生兩個反應位點的過渡態TS1和TS1'。ΔG(TS1)比ΔG(TS1’)更低,說明與對位反應會更優先,也就生成了對應的INT1。這也解釋了為什么在反應中得到了反應位點完全在硝基對位的區域選擇性。最終,作者結合DFT計算提出了一種可能的反應機理(圖6)。

圖6. DFT計算及可能的反應機理。圖片來源:Nat. Commun.
作者成功地利用硝基芳烴與胺的高對位選擇性自由基偶聯芳胺化反應體系高效合成并轉化了三苯胺類衍生物(圖7)。3c-10克量級規模的合成進一步證明了該合成策略在工業中的應用潛力。另外,作者通過采用反硝化轉化策略,利用“合成上游”硝基芳烴實現了功能化芳烴的直接合成。

圖7. 克量級規模合成和反硝化轉化策略。圖片來源:Nat. Commun.
總結
課題組簡介

蔡琥:博士生導師,南昌大學贛江特聘教授、香樟杰才;1990年本科畢業于蘭州大學化學系有機化學專業,1996年研究生畢業于南京大學化學化工學院有機化學專業,1999年博士畢業于南京大學化學化工學院無機化學專業,先后在美國田納西大學化學系、凱斯西儲大學化學系和堪薩斯大學環境友好催化中心作為博士后和副研究員從事研究工作;目前主要從事綠色有機合成以及有機功能分子材料的精準合成及其在光電、傳感以及信息存儲材料方面的應用研究;先后獲得江西省“新世紀百千萬人才工程”人選、江西省“雙千計劃”科技創新高端人才、國務院僑辦重點華僑華人創業團隊等稱號;先后主持國家自然科學基金5項,科技部中小企業創新基金1項,參與科技部重大研究計劃1項。在J. Am. Chem. Soc.、Angew. Chem. Int. Ed.、Nat. Commun.、Chem. Commun.、Organ. Lett.、Org. Chem. Front.、Green Chem.等國內外重要學術刊物上已發表論文100余篇,獲批授權專利20余件。
聲明:化學加刊發或者轉載此文只是出于傳遞、分享更多信息之目的,并不意味認同其觀點或證實其描述。若有來源標注錯誤或侵犯了您的合法權益,請作者持權屬證明與本網聯系,我們將及時更正、刪除,謝謝。 電話:18676881059,郵箱:gongjian@huaxuejia.cn