
一
人物生平
1901年2月18日,鮑林出生于美國西海岸的俄勒岡州波特蘭市,他的家境并不寬裕,父親是當地一名藥劑師也是家中僅有的經濟來源,然而父親在他年幼之時突然因病離世,家境也因此急劇惡化。盡管生活艱難,鮑林卻并未意志消沉,他在打工貼補家用的同時堅持學習,并且對化學表現出極其濃厚的興趣。
1917年,鮑林考入俄勒岡州農學院化學工程系,一度因家境困難輟學,1922年順利獲得學士學位后他又考入加州理工學院跟隨當時著名的化學家諾伊斯(Noyes)從事晶體X射線衍射研究,并成功完成了輝鉬礦(MoS2)晶體的全測定工作。1925年,鮑林獲得化學哲學博士學位后又相繼在歐洲多個重點實驗室從事學習和研究工作,也正是在那時候鮑林接觸到新興的量子力學理論和現代物理測試方法,為他后來提出化學鍵理論奠定了重要基礎。此后,鮑林便任教于母校加州理工學院,1969年又擔任斯坦福大學化學教授,他一生所涉領域頗多,也犯過錯誤,但絲毫不能掩蓋他在科學史上光輝的一面,1994年8月19日鮑林在自家農場去世,走完了他非凡的一生。

圖1 青年時代的鮑林
二
化學鍵本質的探索者
鮑林對化學的最大貢獻當屬他對化學鍵本質的研究及其在物質結構方面的應用,這也正是他青年時代起就非常感興趣的研究內容。物理學家建立原子結構模型后不久,美國化學家路易斯(G. N. Lewis)提出“共用電子對”達到稀有氣體穩定結構的電子模型,幾年后朗繆爾(I. Langmuir)接受和發展了路易斯的觀點,提出以“共價鍵”來表示共用的一對電子。然而他們仍然不能科學地闡釋化學鍵的本質,即無法解釋原子之間為何會選擇“共享”電子,將本該相互排斥的電子牢牢結合在一起的“力”又是什么呢?

圖2 美國化學家G. N. Lewis和I. Langmuir
受限于舊量子論,路易斯-朗繆爾的共價鍵理論本質上是個靜態模型,不但無法闡明成鍵本質更無法解釋氫分子(H2)獨特的光譜現象。1927年,德國化學家海特勒(W. H. Heitler)和倫敦(F. W. London)創造性地將量子力學方法用于處理氫分子,標志著量子化學的誕生,也奠定了近代價鍵理論的基礎。海特勒-倫敦的計算結果表明,由于電子的波動性,原子間波的干涉作用使得原子軌道重疊區域電子密度增大,自旋相反的單電子(未成對電子)在相互接近過程中彼此呈現相互吸引的作用,并使體系能量降低,這也解決了化學鍵的本質問題。

圖3 德國化學家W. H. Heitler和F. W. London
上述理論被稱為價鍵理論(ValenceBondTheory),俗稱的VB法,也時常被稱作電子配對理論。它在解釋共價鍵的方向性和飽和性以及定性討論分子結構方面取得很大成功,但理論初期的不完善性也顯露無疑,例如有些分子的鍵角明顯偏離原子軌道之間的夾角,有些原子的成鍵數目大于價層軌道中未成對電子數,VB法在解釋這些現象時顯得無能為力。
為了解釋多原子分子的空間結構,鮑林于1931年在VB法的基礎上創造性地提出了雜化軌道理論(Hybrid Orbital Theory),合理解釋了甲烷分子(CH4)的四面體構型,進一步豐富和發展了VB理論。為了衡量化合物中原子對“成鍵電子對(鍵合電子)”的吸引能力,鮑林又率先提出“電負性”概念,他以熱化學和鍵能數據為基礎,系統給出了電負性標度數據,這些數據至今仍被廣泛采用,在預測化合物及化學鍵的離子性或共價性程度上發揮了重要作用。

圖4 雜化軌道理論對甲烷分子成鍵的解釋
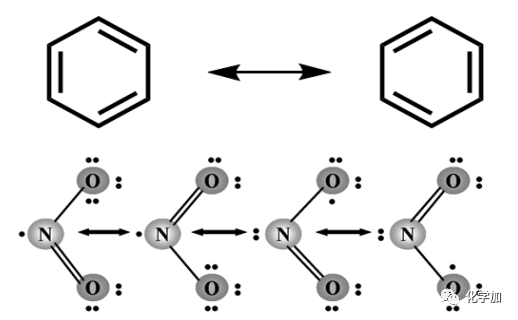
除了以上貢獻,還需要指出的是,鮑林是“共振論”的創始人。諸如苯(C6H6)、臭氧(O3)分子在內的不少分子需要用兩個或更多價鍵結構才能給出滿意的描述,因此鮑林認為正是這些價鍵結構之間的“共振”才完整構成了分子的真正結構。然而“共振論”問世后的數十年中,爭論不休,褒貶不一,上世紀50年代初,蘇聯學者曾以“唯心論”和“機械論”從哲學方面對它進行簡單化的錯誤批判,這種批判也影響到后來的中國學術界。站在現代化學角度來看,“共振論”確有其弊端,但它畢竟與主流的分子軌道理論相比更加簡明直觀,在定性解釋化合物的某些性質上依然實用,因而它并未完全退出歷史舞臺,國內外教科書及文獻著作中“共振論”依然被廣泛采用。

圖5 苯分子和二氧化氮分子的“共振”結構
鮑林自上世紀30年代開始致力于化學鍵的研究,1931年2月發表價鍵理論,此后陸續發表相關論文,1939年出版了化學史上具有劃時代意義的《化學鍵的本質》一書。該書徹底改變了人們對化學鍵的認識,將其從直觀的、臆想的概念升華為定量的和理性的層次,由于鮑林在化學鍵本質以及復雜化合物物質結構闡釋方面杰出的貢獻,他贏得了1954年諾貝爾化學獎。
三
生物學和醫學領域的先行者
鮑林前期的主要研究內容是化學鍵理論,從中后期開始他的研究領域逐漸拓展到生物學和醫學領域。1937年起,他便開始對氨基酸和蛋白質的結構進行研究,并正式確定蛋白質的a-螺旋體結構——這是蛋白質研究領域的重大突破,也為后來確定DNA結構創造了條件也提供了理論依據。盡管鮑林最終沒能正確揭示DNA的雙螺旋結構,還和生物學家沃森、克里克有過關于DNA真實結構的爭論,但無法否認他為后續蛋白質結構研究所奠定的重要基礎。

圖 6蛋白質的a-螺旋體結構(左)、DNA結構發現者沃森和克里克(中)、DNA和RNA的螺旋結構(右)(圖片來源于網絡)
1945年,鮑林開始了他對“分子病”的研究,當時人們普遍認為鐮刀型細胞貧血癥僅僅是由紅細胞變形引起的典型的細胞型疾病,鮑林卻敏銳地意識到該疾病極有可能是一種血紅蛋白分子的疾病。為此他借助電泳技術成功發現正常與異常血紅蛋白在相同電場中表現出的遷移速度差異,1949年11月鮑林在Science上發表論文,詳細討論了異常血紅蛋白與正常血紅蛋白的差異,并且討論了疾病成因和遺傳機制等問題。鮑林對鐮刀型細胞血紅蛋白的研究第一次展示了這種疾病的分子基礎,也是真正意義上第一次提出“分子病”的概念,吸引了后續醫學科研人員從分子層次上進行疾病研究。

圖 7 正常的血紅蛋白(圓餅狀)和鐮刀型細胞貧血癥異常血紅蛋白(圖片來源于網絡)
四
堅定的和平主義者
20世紀50年代,二戰結束后不久,鮑林特別關注世界范圍內的戰爭與和平問題。那時世界各國都在頻繁地進行核試驗,鮑林意識到核輻射對人類生存及健康造成的巨大威脅,1955年他聯合愛因斯坦等科學家,反對研究和生產毀滅性武器。1958年,他又撰寫了《不要再有戰爭》一書,書中以豐富的資料,說明了核武器對人類的重大威脅。1962年,鮑林因在反對核武器試驗上做出的努力獲得諾貝爾和平獎,成為繼居里夫人之后第二位獲得不同諾貝爾獎項的科學家,也是僅有的每次都是獨立獲獎的人。

圖 8 鮑林撰寫的《不要再有戰爭一書》
五
毀譽參半的“維生素之爭”
20世紀60年代,美國突然掀起一股維生素熱潮,而這股熱潮的制造者正是鮑林。他認為維生素C能夠增強人體免疫系統,對感冒有顯著療效,他更指出服用大劑量的維生素C還可使癌癥得到緩解。為此,他做了大量的研究和宣傳工作,人們對這位科學家深信不疑,霎時間維生素C成為“明星分子”。此外,鮑林還認為維生素C是一種常見的“正分子”并大肆宣揚所謂“正分子醫學”,然而這一觀點嚴重挑戰了傳統醫學認知,被認為是對傳統醫學的威脅,時至今日也從未得到主流醫學界的認可。

圖 9 商品化的維生素C和它的結構式(圖片來源于網絡)
盡管鮑林的說法得到普通民眾的熱烈追捧,卻一直未得到醫學界和營養學界的認可,反對和批評之聲不絕于耳,昔日的“科學巨匠”也被攻擊為“江湖庸醫”,他也被視為“偽科學傳播者”。時至今日,對于鮑林晚年極力推崇維生素C的爭議仍未完全退卻,學界也沒有對維生素C的保健作用和服用劑量等達成共識。客觀來說,無論爭議的具體焦點如何,維生素對生命有機體的重要作用仍不失為20世紀的重要發現之一,這是毋庸置疑、也是無可爭議的。
六
結束語
鮑林一生對化學的貢獻頗多,對年輕一代化學家的影響也極其深遠,他十分關切我國的化學事業,曾于1973年和1981年兩度對我國進行學術訪問和交流,著名化學家唐有祺和盧嘉錫先生都曾在鮑林指導下研究和學習。
從現代化學的進程來評價鮑林,他創造性地提出雜化軌道、電負性、共振論等化學領域最基礎又廣泛使用的概念,極大豐富和發展了價鍵理論,成為當之無愧的“現代結構化學奠基人”;橫跨生物學和醫學領域,他的研究又為后人指明方向;為世界和平奔走,科學家的人文精神在他身上得到了極好詮釋。盡管晚年深陷爭議,但鮑林敢為人先,積極探索新領域的精神仍然值得我們贊賞。作為極富創造力的科學家和熱心世界和平的社會活動家,鮑林完美詮釋了一個科學家應該具備的品質,而這種品質必將世代流傳,影響和激勵著一代又一代的科學工作者。
參考資料:
[1] 盛根玉. 化學鍵本質的探索者鮑林[J]. 化學教學, 2011 (11): 57-60.
[2] 張宏志, 搖李建. 鮑林對于血紅蛋白分子學領域的貢獻[J].大學化學, 2012, 27(6).
[3] 褚廷夫. 有“第一流天才”與“和平老人”美譽的鮑林[J]. 化學教學, 1998, 6: 10-11.
[4] 田荷珍. 鮑林與現代化學[J]. 大學化學, 1987, 2(2): 56-59.
[5] 周公度, 段連運. 結構化學基礎(第5版)[M]. 北京大學出版社, 2017
[6] 淮沙. 維生素之爭[J]. 生命世界, 2010 (3): 26-31.
[7] 呂仁慶等. 鮑林與共振論-關于共振論的論爭[J]. 廣東化工, 2010, 37(5): 23-24.
撰稿人:Geronimo
聲明:化學加刊發或者轉載此文只是出于傳遞、分享更多信息之目的,并不意味認同其觀點或證實其描述。若有來源標注錯誤或侵犯了您的合法權益,請作者持權屬證明與本網聯系,我們將及時更正、刪除,謝謝。 電話:18676881059,郵箱:gongjian@huaxuejia.cn