無機物通常不具備構筑生命體所需的良好柔韌性、可塑性和響應性。絕大多數情況下,具有可調機械強度或摩擦學性能的類生命材料(如自適應水凝膠)必須建立在輕而軟的有機分子上。換言之,如果能夠成功利用無機基元實現仿生軟材料的構筑,必將是對材料科學和納米技術的有力補充。因其不僅可為創造全新的“無機生命體”提供可行性,還能克服傳統有機化合物易燃、有毒性和難以生物降解等缺點。

圖1. 水凝膠在不同pH下的微觀表征及結構示意圖
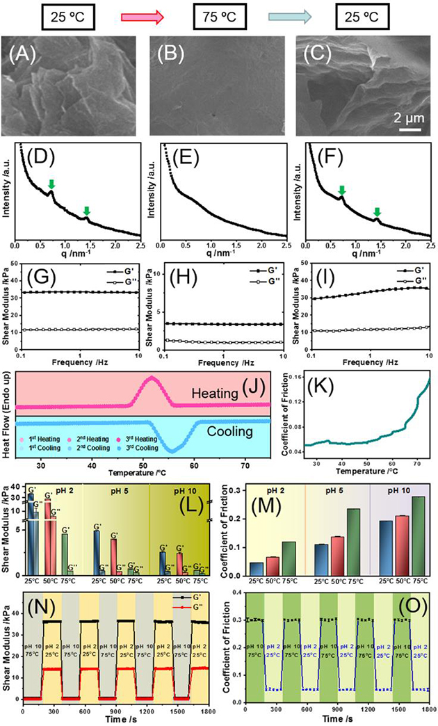
近日,中國科學院蘭州化學物理研究所固體潤滑國家重點實驗室徐路特聘青年研究員團隊首次研制出一種僅由氧化石墨烯和水組成的雙響應型機械與摩擦學自適應水凝膠。該純無機凝膠能夠基于pH或溫度誘導的內部微觀結構重構,使自身機械強度或摩擦系數分別急劇或緩慢變化10倍、5倍以上。同時改變外部pH和溫度,則能誘發凝膠的機械與摩擦學性能發生更加顯著的變化。該行為能夠高仿真模擬肌肉或海參在感受外部刺激或生物信號下的力學或摩擦學性能變化。
該水凝膠在低pH值和室溫下呈現出優異的潤滑抗磨性能,可與由傳統有機潤滑基礎油或添加劑所形成的凝膠相比肩。結合所使用氧化石墨烯凝膠因子的低毒性和生物降解性,以及該水凝膠易于制備的優點,研究人員認為這種新型自適應水凝膠不僅能夠用于仿生領域,還可作為智能與綠色超分子凝膠潤滑劑,用于精確調諧材料表面的摩擦學性能,繼而在智能器件(如自清潔表面和微流體技術)的構筑領域表現出潛在應用價值。
相關研究有望通過為制造完全不含任何有機分子的智能軟材料提供新的設計策略,繼而幫助擴大材料科學、膠體化學和納米技術的研究范圍,甚至有望創造出“無機生命”。

圖2. 水凝膠在不同pH下的摩擦學及機械性能表征

圖3. 水凝膠的熱響應性及pH和溫度對水凝膠機械和摩擦學性能的雙驅動行為
相關研究成果以 “Dual-Driven Mechanically and Tribologically Adaptive Hydrogels Solely Constituted of Graphene Oxide and Water” 為題發表在Nano Letters上(https://doi.org/10.1021/acs.nanolett.2c01489)。蘭州化物所胡璐琳助理工程師為該論文的第一作者,徐路特聘青年研究員和山東大學郝京誠教授為通訊作者。
該工作得到了蘭州化物所特聘人才計劃、煙臺先進材料與綠色制造山東省實驗室項目的支持。
參考資料:http://www.licp.cas.cn/sy2018/xwdt/kydt/202206/t20220616_6462178.html
聲明:化學加刊發或者轉載此文只是出于傳遞、分享更多信息之目的,并不意味認同其觀點或證實其描述。若有來源標注錯誤或侵犯了您的合法權益,請作者持權屬證明與本網聯系,我們將及時更正、刪除,謝謝。 電話:18676881059,郵箱:gongjian@huaxuejia.cn