
碳碳雙鍵斷裂氮化反應實現復雜分子重塑
正文
碳碳鍵構成了有機化合物的基本骨架,其斷裂轉化對化石能源利用、廢棄聚烯烴及生物質轉化、分子骨架編輯等領域至關重要。例如,石化工業中利用高溫、高壓或催化條件實現的石油裂化與裂解其本質是碳碳鍵斷裂過程。碳碳雙鍵在大宗化學品、天然產物及藥物分子中廣泛存在,復雜分子中的碳碳雙鍵重塑在合成化學和藥物發現中起著重要作用(圖1A)。長期以來,碳碳雙鍵的斷裂轉化方式有限,主要集中于傳統的氧化反應和烯烴復分解(獲2005年諾貝爾化學獎),分別將碳碳雙鍵轉化為碳氧鍵和新的碳碳鍵。但是,經過碳碳雙鍵斷裂將氮原子引入分子中的氮化反應很少被實現(圖1B)。由于含氮化合物被廣泛應用在在農藥、香料、染料、材料等領域,向分子中引入氮這一重要的生命元素能夠顯著提升分子功能或成藥性,精準、高效的氮化反應一直是被合成化學關注的領域之一。然而,由于碳碳鍵鍵能高、活性低、選擇性難以控制,尤其是復雜分子中存在多個反應位點、反應環境復雜,實現復雜分子的碳碳雙鍵斷裂氮化反應更具挑戰(圖1C)。

據報道,β-疊氮醇在氧化條件下可以發生碳碳鍵斷裂轉化為羰基腈。結合在碳碳鍵斷裂轉化(Acc. Chem. Res. 2014, 47, 1137; Acc. Chem. Res. 2017, 50, 1640)和分子骨架編輯(Acc. Chem. Res. 2024, 57, 3161; Acc. Chem. Res. 2025, 10.1021/acs.accounts.4c00846)領域的研究基礎,北京大學焦寧教授課題組設想能否利用其發展的級聯活化和熵增重構策略,通過引入氮、氧活性基團實現碳碳雙鍵氮化以及復雜分子重塑?近日,他們發展了一種非均相銅催化的烯烴需氧氮化反應,通過設計合成非均相銅催化劑,實現了烯烴類復雜分子到羰基腈的轉化,完成了藥物、天然產物等復雜分子骨架的精準編輯(圖1D),相關成果發表在Science上,焦寧課題組19級博士生程增瑞、18級博士生王琛、已出站博士后黃開盟、陳莉莉為本文共同第一作者,中石化石油化工科學研究院有限公司夏長久研究員和焦寧教授為該工作的共同通訊作者。值得一提的是,焦寧教授課題組前期基于碳碳鍵斷裂已經實現了硝基甲烷作為氮源的施密特(Schmidt)反應(Science 2020, 367, 281)和苯環的開環轉化(Nature 2021, 597, 64),這項工作解鎖了他們在碳碳單鍵、雙鍵、叁鍵及芳香環碳碳鍵斷裂轉化研究領域又一塊重要拼圖。
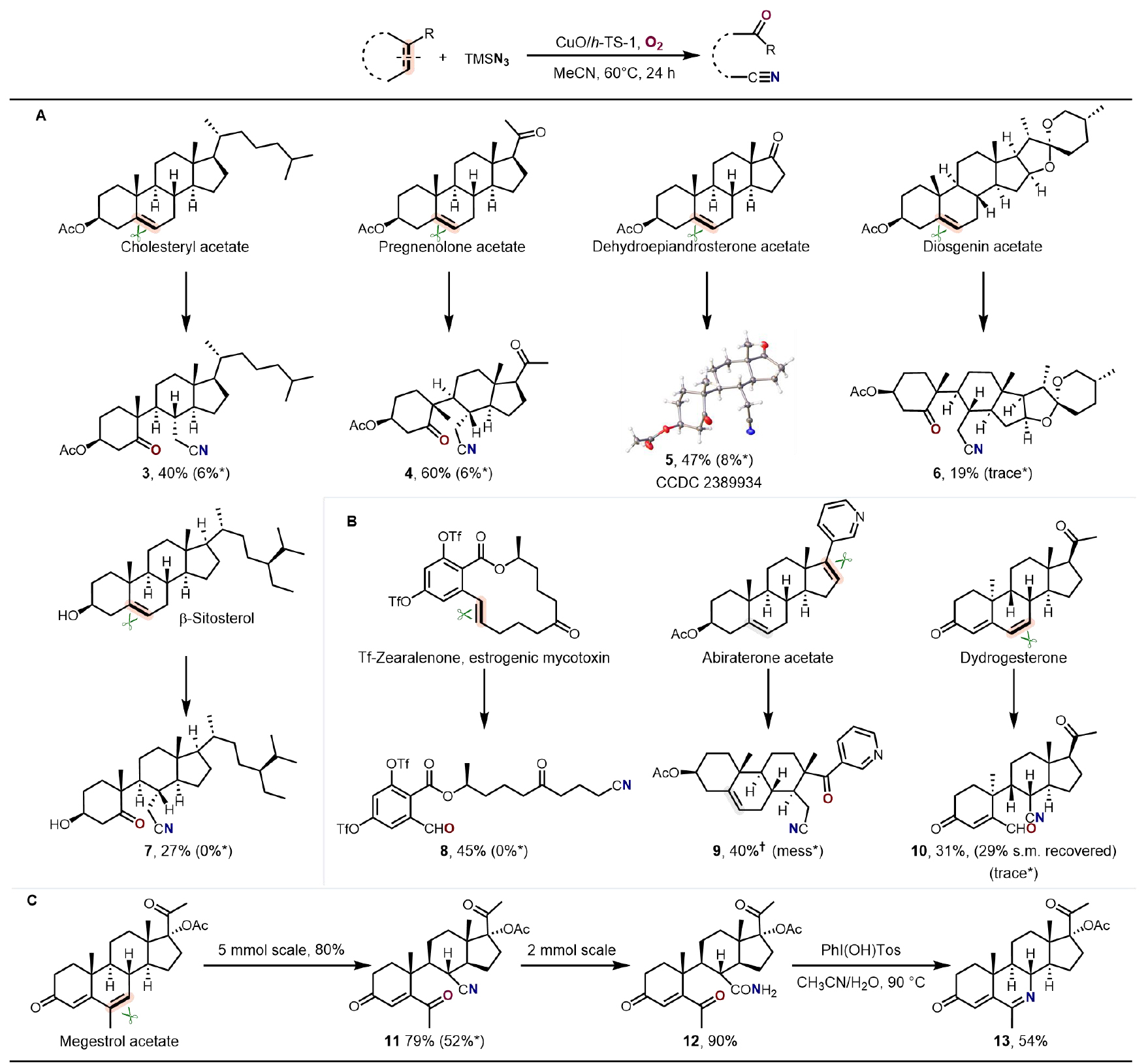
在確立了最佳反應條件后,作者首先對甾體類底物的適用范圍進行考察。甾體類分子的傳統修飾和改造方法主要針對A或D環,對于核心骨架(B或C環)的改造在仍然極具挑戰性。該方法可選擇性地構建一系列甾體B環5,6位斷裂的化合物(3-7),其中化合物5的結構通過X射線單晶衍射得到證實(圖2A)。在該條件下,天然產物、藥物分子及其衍生物(8-10)也能實現這一轉化(圖2B),其中前列腺癌治療藥物乙酸阿比特龍選擇性地在D環斷裂而保留了B環的碳碳雙鍵,乳腺癌治療藥物醋酸甲地孕酮在此方法下被轉化為羰基腈11,經過氰基水解和Hofmann重排可被進一步轉化為C7位碳-氮原子交換的產物13(圖2C)。

圖2. 甾體類底物的需氧氮化反應與骨架重塑
該方法還可以應用于含碳碳雙鍵的萜類化合物的骨架重塑(圖3A)。(+)-3-蒈烯被轉化為含順式環丙烷骨架的14,(+)-a-蒎烯、(-)-a-柏木烯和(-)-諾卜醇及其衍生物等經過碳碳鍵斷裂產生了手性環丁烷和環戊烷結構分子,該反應可兼容羥基、疊氮、酯和酰胺官能團(15, 16, 21-24)。萜品醇類底物以中等產率得到具有手性季碳中心的化合物(17-19)。(-)-b-石竹烯中的環和環外雙鍵同時斷裂,得到反式取代的環丁烷衍生物20。此外,鑒于氰基在藥物分子中的關鍵作用,作者還研究了萜類結構中末端異丁烯基的氮化反應(圖3B)。烷基腈(25-29)可由蛇床子素、(S)-(-)-b-香茅醇及其乙酸酯、橙花醇和α-紅沒藥醇乙酸酯等化合物制備。此外,糖烯類底物如3,4,6-三-O-乙酰基-D-葡萄烯糖等可以被轉化為氰基取代的甲酸酯(32-34)。產物35可以由羥基保護的D-半乳烯糖得到,可被進一步轉化為1,5-二脫氧-1,5-亞氨基-D-阿拉伯糖醇衍生物36(圖3C)。

圖3. 萜類和糖烯類底物的需氧氮化反應與骨架重塑
除了復雜分子外,本方法對簡單烯烴底物同樣適用(圖4)。對于三取代環烯烴,各種大小的環和不同官能團如苯基、鹵素、醚或羰基能被很好地兼容(37-48)。其次,烷基和缺電子芳基取代的烯烴以及含有縮酮、二氫吡喃、N-保護的四氫吡啶、N-保護地3,6-二氫吡啶、酰胺等結構的底物也能以中等到優秀產率反應(49-56)。1,1-二取代烯烴和1,2-二取代烯烴發生碳碳雙鍵斷裂生成羰基腈或醛、酮、腈類化合物(58-68)另外,以水作添加劑并降低溫度進行反應時,烯烴碳碳雙鍵未發生斷裂,而是生成β-疊氮基過氧醇類化合物(69-73)。

圖4. 烯烴底物的需氧氮化反應
催化劑性能測試表明,在以1-苯基環己烯或環己烯-1-甲酸甲酯為底物進行反應時,CuO/h-TS-1催化劑被重復使用7次而催化活性沒有顯著衰減。每次循環后通過ICP-AES測定溶劑中的銅含量,結果顯示CuO/h-TS-1中的銅幾乎沒有流失(<1ppm)(圖5A)。其次,作者進行了對照實驗來研究催化劑的作用(圖5B)。在CuO/h-TS-1和h-TS-1的存在下,β-疊氮基過氧醇69分別以81%和21%的收率轉化為羰基腈2。此外,化合物69還可以在沒有催化劑的情況下部分轉化為產物2,這表明CuO/h-TS-1在β-疊氮基過氧醇的碳碳鍵斷裂過程中起到了顯著的促進作用。該反應不能在氬氣氣氛下發生,結合18O標記實驗證明產物中的氧原子來自氧氣。此外,X射線光電子能譜(XPS)分析表明了銅物種主要處于+2氧化態(圖5C)。透射電子顯微鏡(TEM)表明氧化銅納米顆粒的粒徑分別在2.22 ± 0.95 nm(圖5D),顯示CuO的(200)和(110)晶面間距分別為0.236 nm和0.271 nm(圖5E),元素分布測試(TEM-EDS)表明沸石顆粒中的Cu、Si和Ti物種均勻分布,這與XPS和TEM的結果一致(圖5F)。

圖5. 機理研究和催化劑表征
最后,作者還對該反應機制進行了密度泛函(DFT)計算,并提出了可能的反應機理(圖5G)。計算表明,該反應通過一個關鍵的銅輔助O-O鍵斷裂步驟進行。底物經過疊氮自由基加成和O2捕獲后形成中間體INT2,并與[CuO]催化劑結合形成INT3。INT3發生O-O鍵均裂生成INT4和[CuO]O?物種。INT3經過渡態TS2發生碳碳鍵斷裂到INT5的能壘為21.2 kcal/mol,這是反應的決速步。接下來,α-疊氮自由基發生N?N鍵斷裂釋放出N2生成中間體INT6,這是一個顯著放熱的過程。最終,[CuO]O?物種攫氫生成產物,同時釋放出的[CuO]OH物種能進一步氧化TMSN3生成疊氮自由基,從而完成催化循環。因此,CuO不僅作為引發疊氮自由基的高效催化劑,還作為O-O鍵均裂和碳碳鍵斷裂的的促進劑。
總結

綜上所述,焦寧團隊與合作者發展了高效、高選擇性的烯烴碳碳雙鍵斷裂需氧氮化反應,實現了含碳碳雙鍵復雜分子(如萜類、烯糖、甾體等)的骨架重塑。該研究不僅為優勢骨架分子編輯及合成提供了一種新穎、有效的合成工具,開拓分子新化學空間,還有望推動合成化學和藥物發現等相關領域的發展。北京大學宋頌、上海大學酈鑫耀、北京化工大學王騰和曹鵬飛、中科院精密測量科學與技術創新研究院鄭安民、浙江大學王亮等研究團隊也對該工作給予了合作幫助。
焦寧課題組主頁:https://thejiaogroup.cn/
聲明:化學加刊發或者轉載此文只是出于傳遞、分享更多信息之目的,并不意味認同其觀點或證實其描述。若有來源標注錯誤或侵犯了您的合法權益,請作者持權屬證明與本網聯系,我們將及時更正、刪除,謝謝。 電話:18676881059,郵箱:gongjian@huaxuejia.cn