正文
基于稀土離子特性和配體調控能力,稀土金屬催化雜原子底物與烯烴、炔烴的區域和立體選擇性C-H官能化領域已取得了一系列重要進展。在這些轉化過程中,稀土金屬離子對雜原子的強親和力以及RE-C鍵對不飽和碳-碳鍵的高反應活性是獲得高反應活性和選擇性的關鍵因素。盡管RE...π相互作用在烯烴聚合反應中應用廣泛,但在促進C-H鍵活化方面卻較為少見(在本文評審過程中,日本理化學研究所侯召民教授利用半夾心茂稀土金屬配合物實現了一例烯烴異構化的工作:J. Am. Chem. Soc. 2024, 146, 26766)。咪唑啉-2-亞胺基配體可作為2s,4p-N-給電子型配體,被稱為類Cp型配體。團隊前期研究表明NHI-稀土金屬配合物與相應的Cp-稀土金屬配合物在立體電子性質和催化活性上存在顯著差異(Sci. China. Chem. 2023, 66, 1804–1813, Chem. Sci. 2023, 14, 3132–3139, Chem. Eur. J. 2024, 30, e202401014, CCS Chem. 2025, 7, 148–159)。
基于上述研究進展,本文利用團隊原創的咪唑啉-2-亞胺基鈧烷基配合物與烯烴間的RE...π相互作用實現了烯烴與1-芳基-2-烷基烯烴或a-烯烴形式上的氫烯丙基化反應,以一步、100%原子經濟性合成得到了一系列增碳內烯烴化合物(65個實例,產率高達99%,E/Z >19:1)。如圖1所示,稀土金屬離子與烯烴p鍵的相互作用能增強烯丙位質子的酸性,在堿性配體協助下活化烯丙位C-H鍵形成親核性的烯丙基稀土金屬中間體。隨后,另一分子烯烴對稀土-烯丙基鍵的插入生成稀土烷基物種,該物種與另一分子烯烴底物發生s-鍵復分解釋放氫烯丙基化產物并再生催化劑。該轉化面臨多重挑戰:(1)通過較弱的RE-烯烴相互作用實現烯丙位選擇性活化;(2)烯烴構型及烯丙基稀土金屬中間體的流變性對反應活性和立體選擇性的影響;(3)控制兩種不同烯烴的氫烯丙基化而非二聚或聚合反應。

圖1 簡單烯烴的氫烯丙基化反應
通過對β-甲基苯乙烯(A1)和苯乙烯(B1)標準反應條件的優化,我們發現三異丙基取代咪唑啉-2-亞胺稀土烷基配合物在收率和選擇性上表現最優:A1 (0.3 mmol)、B1 (0.1 mmol)、Sc-3/[Ph3C][B(C6F5)4] (1:1,10 mol%)在1.0 mL甲苯中于100 °C下反應12小時,以6:1的順反比和95%收率得到產物(表1, entry 1)。

表1 氫烯丙基化反應條件優化
值得提及的是(1)β-甲基苯乙烯(A1)順反比對反應活性和產物E/Z比影響不大;(2)當使用在稀土催化C-H官能化中常用的Cp*-Sc催化劑時,僅發生苯乙烯的聚合反應,說明NHI配體的獨特作用。
在最優條件下,進一步研究了咪唑啉-2-亞胺稀土金屬配合物催化的氫烯丙基化反應的普適性(圖2)。烷基取代、雜原子取代、鹵原子取代的苯乙烯都能順利反應,延長內烯烴的鏈長、雙烷基取代的內烯烴,三取代內烯烴都適用于該體系。烷基取代、鹵原子取代、二茂鐵取代的苯乙烯反應的都較好,生物活性分子雌酚酮衍生的烯烴也能以較高收率得到產物。

a Standard condition: Sc-3/[Ph3C][B(C6F5)4] (1:1, 10 mol%), A (0.3 mmol), B (0.1 mmol) in toluene (1.0 mL) at 100 °C for 12 h. Yield of isolated product. b 0.1 mL toluene. c A (0.5 mmol), 0.1 mL toluene. d A1 (0.5 mmol). e A1 (0.4 mmol). f A1 (1.0 mmol)
圖2 內烯烴和苯乙烯的適用范圍
簡單端烯也適用于該體系,烯烴先通過碳氫鍵活化隨后雙鍵遷移發生氫烯丙基化反應(圖3)。其中烯丙位碳氫鍵的pKa值高于40(在DMSO中)的底物也能以較高的收率和順反比得到產物。1,1-二取代烯烴也都能順利發生反應。

a Standard condition: Sc-3/[Ph3C][B(C6F5)4] (1:1, 10 mol%), B2 or B11-B12 (0.3 mmol), B1 (0.1 mmol) in toluene (1.0 mL) at 100 °C for 12 h. Isolated yield. b B13?B18 (0.5 mmol). c B19?B22 (0.5 mmol) in toluene (0.1 mL).
圖3 端烯底物拓展

a Dimerization of internal alkenes: Sc-3/[Ph3C][B(C6F5)4]/THF (1:1:1, 10 mol%), A (0.4 mmol, Z and E mixture) in benzene (0.1 mL) at 100 °C for 12 h. Yield of isolated product. b Dimerization of terminal alkenes: Sc-9/[Ph3C][B(C6F5)4] (1:1, 10 mol%), B (0.4 mmol) in benzene (0.1 mL) at 100 °C for 12 h. Yield of isolated product.
圖4 二聚反應底物范圍
由于稀土既能活化碳氫鍵又能促進烯烴的遷移插入,內烯烴和端烯的二聚反應也能發生(圖4)。經過對反應條件的詳細考察,發現在高濃度、加入四氫呋喃的條件下反應收率和順反比顯著提高:在Sc-3和外加催化量THF的存在下,A1在0.1 mL苯中100 ℃下反應12 h,以高Z/E比和高收率得到相應二聚產物,不同烷基取代,雜原子取代,鹵原子取代都適用于該體系。
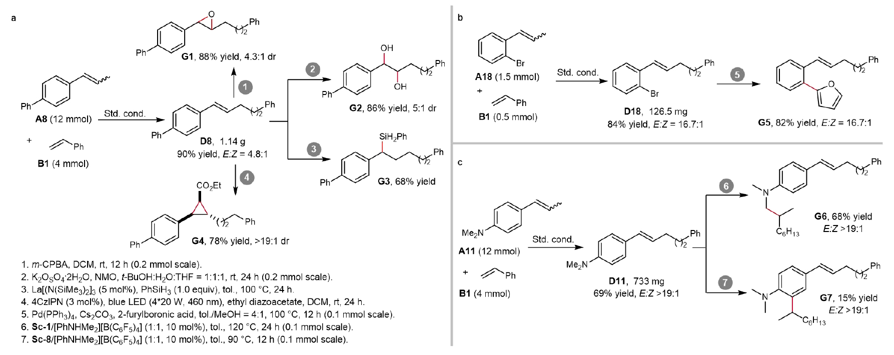
為了進一步展現該反應在合成中的用途,進行了放大量實驗和產物衍生(圖5)。環氧化、雙羥化、氫硅烷化、環丙烷化、Suzuki偶聯、C-H烷基化等衍生實驗都能順利進行。

圖5 產物轉化
為了更深入地了解氫烯丙基化的機理,進行了一系列控制實驗(圖6)。這些結果表明,反應過程中可能會形成相同的中間體。異構化過程最終達到了動態平衡(圖6a)。研究了α-甲基苯乙烯(A1)的構型對氫烯丙基化反應沒有影響(圖6b)。A1的構型對二聚化的影響可以忽略不計,N,N,2-三甲基苯胺有利于提高反應活性(圖6c)。b-甲基苯乙烯的烯丙基C(sp3)-H鍵斷裂可能參與了決速步(圖6d和圖6e)。

圖6 機理實驗
為了闡明反應機理,進行了密度泛函理論(DFT)計算(圖7)。首先,催化劑前體Sc-3與[Ph3C][(BC6F5)4]反應,生成相應的陽離子烷基鈧物種INT1。然后,A1與Sc(Ⅲ)形成中間體INT2。INT2中烯丙位碳氫鍵可以通過s鍵復分解活化生成烯丙基鈧中間體E-INT3。Z-異構體(Z-INT3)可以通過勢壘為13.2 kcal/mol的h1過渡態轉化為E-異構體(E-INT3)。隨后,底物B1與E-INT3配位形成E-INT4,E-INT4通過過渡態E-TS2進行2,1-插入,過渡態E-TS2和Z-TS2的結構分析表明,Z-異構體中A1的苯環和甲基之間的存在明顯的空間位阻(圖7b)。接下來,底物A1的另一個分子通過E-TS3與E-INT5發生s鍵復分解反應,形成E-INT6,該步驟是反應的決速步,與氘代標記實驗結果一致。在二聚反應中加入四氫呋喃顯著降低過渡態能壘,并使反應決速步變為烯烴插入步驟。

圖7 DFT計算
總結與展望
作者利用NHI-鈧烷基陽離子催化劑與烯烴底物C=C鍵作用選擇性地活化了烯丙位C-H鍵,完成了烯烴分子間反馬氏氫烯丙基化反應,高原子經濟性地實現了烯烴碳鏈的延長,上述方法為高附加值內烯烴的合成提供了綠色高效新方法。通過實驗和理論計算,闡明了反應過程中催化劑、添加劑、底物等因素對反應的影響,提出了RE...p相互作用促進C-H鍵活化新模式。上述研究為稀土金屬催化C-H官能化反應提供了新思路。感謝華南理工大學陳耀峰教授與天津大學叢雪峰教授在課題研究過程中有益討論和寶貴建議。
導師簡介
董順喜教授主要從事不對稱合成和稀土金屬有機配合物催化領域研究。在稀土金屬催化領域取得一系列創新性的研究成果:(1)合成并表征了一系列稀土金屬/氮雜環亞胺、稀土金屬/噁唑啉有機配合物催化劑,將其應用于C-H官能化、氫元素化等重要反應;(2)研究了手性雙氮氧稀土金屬配合物(馮氏催化劑)構效關系,發展了稀土金屬Lewis酸催化的新反應、新方法和新策略。以(共同)通訊作者和第一作者在Acc. Chem. Res., Chem. Soc. Rev., JACS,Angew. Chem., CCS Chem., ACS Catal.等刊物上發表SCI論文40余篇。獲得 Thieme Chemistry Journals Award、教育部高等學校科學研究優秀成果獎自然科學一等獎(排名第四)、第十三批四川省學術與技術帶頭人后備人選、The Distinguished Lectureship Award of The CSJ Asian International Symposium等榮譽,任Chinese Chemical Letters第四屆青年編委會委員。
馮小明院士研究團隊招聘啟事
馮小明院士研究團隊因科研工作和發展需要,誠聘博士后和研究助理數名,研究方向包括:
1. 有機合成化學(包括金屬有機化學、不對稱合成、C-H鍵活化等);
2. 有機半導體材料合成;
3. 高分子合成;
4. 計算化學(包括量子化學,分子動力學模擬,第一性原理計算)。待遇面談。
有意者請將詳細個人簡歷(包括學習工作經歷、研究內容簡介、獲得成果列表等)發送郵件至liuxh@scu.edu.cn(劉老師)并抄送至41638389@qq.com。
聲明:化學加刊發或者轉載此文只是出于傳遞、分享更多信息之目的,并不意味認同其觀點或證實其描述。若有來源標注錯誤或侵犯了您的合法權益,請作者持權屬證明與本網聯系,我們將及時更正、刪除,謝謝。 電話:18676881059,郵箱:gongjian@huaxuejia.cn