有機磷化合物類化學武器可以干擾人的神經細胞信號,典型的代表有索曼、沙林毒氣。在敘利亞,在諸多戰爭中,這些化學武器所到之處,生靈涂炭。科學家們希望可以開發出能夠靈敏檢測化學武器物質的技術,在發現的同時,還能夠將其一舉"殲滅"。

英國University of Sheffield 的Mike Ward 領導的研究小組在這一領域上邁出了重要的一步。他們開發出有著巨大中空結構的自組裝籠狀超分子。而小分子的化學武器物質,則是這些超分子的客體物質。

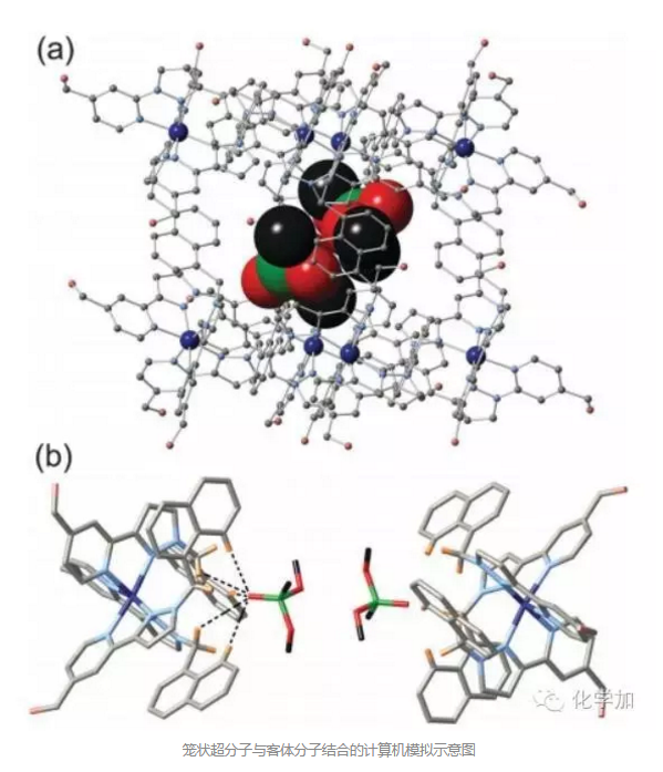
籠狀超分子本身并不是多么高深前沿的物質。但是,而Ward卻喜出望外地發現,它們似乎能有效地結合烷基磷酸酯類物質。在實驗室中,直接使用化學武器物質往往過于危險,烷基磷酸酯由于具有相似的分子尺寸與形狀而又沒有過強的毒性,往往作為化學武器的"替身"來加以研究。
在超分子籠的每個頂點分布著二價鈷或鎘,每條邊則有雙(吡唑-吡啶)配體構成。在水溶液中,超分子籠主體與磷酸酯客體在疏水作用下進行結合。 疏水的分子取代原有的水分子,進入到疏水空腔中,并彼此之間形成氫鍵,這個過程在能量上也更有利。
另外,在使化學武器試劑失效的同時,這種技術還有指示作用。籠狀超分子原本是發光的,而一旦與烷基磷酸酯結合,發光則被猝滅。
英國Durham University 的無機化學家Jonathan Steed 對此評論道: 化學武器的確是可以被強效氧化劑消滅,但是高靈敏的分析檢測方法同樣需求很大。在安保形勢嚴峻的地區尤其如此。
該課題組的下一個目標就是利用該技術將化學武器物質催化分解,并不額外產生有害物質。并以此建立一種處置化學武器物質的新方法。
參考文獻:
Taylor, C. G. P.; Piper, J. R.; Ward, M. D., Binding of chemical warfare agent simulants as guests in a coordination cage: contributions to binding and a fluorescence-based response. Chemical Communications 2016, 52 (37), 6225-6228.
聲明:化學加刊發或者轉載此文只是出于傳遞、分享更多信息之目的,并不意味認同其觀點或證實其描述。若有來源標注錯誤或侵犯了您的合法權益,請作者持權屬證明與本網聯系,我們將及時更正、刪除,謝謝。 電話:18676881059,郵箱:gongjian@huaxuejia.cn