眾所周知,烯烴可以由羰基化合物經由Wittig反應等得到,那么能否直接發生羰基-烯烴的復分解反應呢?答案當然是可以的,事實上,羰基-烯烴的復分解反應早有報道,但發展還不夠完善,底物比較狹窄,條件較為苛刻,有的需要當量的過渡金屬催化劑才能完成(常用的Grubbs二代催化劑,CAS:246047-72-3,大約7000元/2克,非常昂貴)。

近期,密歇根大學化學系一位年青的女科學家Corinna S. Schindler在Nature上發表文章,報道了三價鐵催化的羰基-烯烴復分解反應,稱得上是該領域革命性的突破,文章doi:10.1038/nature17432。作者采用非常廉價的FeCl3作催化劑(CAS:7705-08-0,536元/25克),在5% FeCl?的條件下,用二氯乙烷作溶劑,室溫空氣中反應,就能以較高產率順利發生羰基-烯烴關環復分解反應,構建含有多取代雙鍵的五元環、六元環,反應非常溫和。

首先,作者通過條件篩選,找出了最佳反應條件,接著進行了底物擴展,芳基酮底物中芳基上可以帶有烷基、烷氧基、鹵素等各種取代基,側鏈上的取代基可以是酯基、烷基、磺酰基等,都能以較高產率發生羰基-烯烴復分解反應,構建五元環或者六元環,還可以合成非常有用的合成子——帶有季碳中心和多取代雙鍵的五元環。反應條件非常溫和,并且表現出了良好的官能團容忍性。

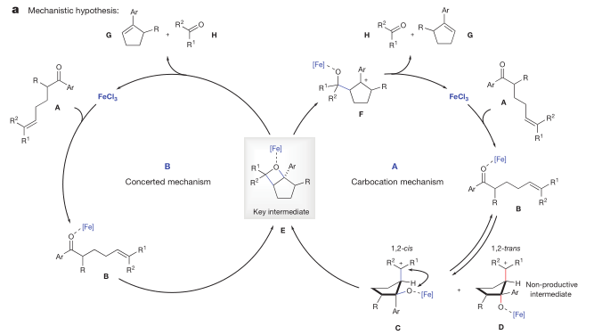
作者也提出了反應可能的機理,并且通過和密歇根大學化學系的同事Paul M. Zimmerman教授合作,通過實驗和計算化學的方法確定了反應是經由協同的機理,經四元環過渡態發生的,這也和常規的Wittig反應以及烯烴復分解反應的機理一致。

總之,Corinna S. Schindler教授在Nature上報道了一種非常重要的羰基-烯烴復分解反應,條件溫和,操作簡便,催化劑經濟價廉,底物適用性廣泛,表現出了很好的官能團容忍性,且可以實現大量制備。這也是一種非常重要的構建五元環的方法,將在有機合成和材料合成中具有廣闊的應用前景。
聲明:化學加刊發或者轉載此文只是出于傳遞、分享更多信息之目的,并不意味認同其觀點或證實其描述。若有來源標注錯誤或侵犯了您的合法權益,請作者持權屬證明與本網聯系,我們將及時更正、刪除,謝謝。 電話:18676881059,郵箱:gongjian@huaxuejia.cn