
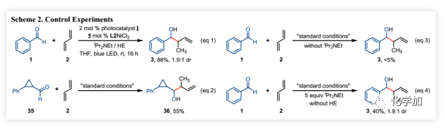
醛的烯丙基化是構建C-C鍵合成高烯丙基醇的重要方法。傳統上,主要通過醛與預金屬化的C-親核試劑的加成來合成高烯丙基醇,但這些方法具有安全性、高成本和步驟多等問題;在各種過渡金屬催化劑下,可以通過1,3-丁二烯與醛的還原偶聯合成高烯丙基醇。此外,Krische等人以醇為還原劑通過釕或銥催化的借氫策略對二烯-醛還原偶聯進行了巨大改進。目前,鎳催化劑已廣泛用于還原偶聯以及二烯-醛偶聯反應中(Scheme 1a)。1994年,Mori、Sato等人在硅烷存在下,通過鎳催化的1,3-二烯與羰基的分子內偶聯得到高烯丙基醇或高高烯丙基醇;緊接著,Tamaru等人以BEt3作為還原劑實現1,3-二烯與醛的分子間還原偶聯用于合成高高烯丙基醇,而周其林和Sato等人實現了對映選擇性合成。最近,Breit和Krische課題組發現鎳催化的1,3-二烯與甲醛的還原偶聯可以合成線性高高烯丙基醇,其中甲醛既是偶聯配偶體又是還原劑。總之,上述反應均可以產生具有線性區域選擇性的烯丙基化或高烯丙基化產物。然而,上述反應多數需要有毒和易燃的有機金屬試劑(Et2Zn/Et3B)或硅烷作為還原劑。線性選擇性源于Ni(0)-介導的二烯與醛之間的氧化偶聯產生可分離的π-烯丙基氧雜鎳環中間體。因此,開發新的鎳催化體系實現支鏈選擇性可以大大拓展二烯-醛偶聯的合成用途。最近,陳以昀、Ngai等人報道了醛與缺電子烯烴通過酮自由基生成醇的光催化還原偶聯,其他人以Hantzsch酯(HE)為還原劑。此外,K?nig課題組以HE為氫源通過氫化鎳中間體實現了光致氧化還原/Ni催化的苯乙烯的氫羧基化。假設在可見光光致氧化還原/鎳催化下,可以實現醛與1,3-二烯的還原性烯丙基化得到支鏈產物。在光氧化還原催化下,低價鎳經氫自由基氧化產生Ni-H;然后,通過1,3-二烯的Ni-H插入生成的π-烯丙基鎳中間體與酮自由基加成,再經還原消除實現支鏈選擇性烯丙基化(Scheme 1b,path a);或者,醛與π-烯丙基鎳中間體通過Zimmerman-Traxler過渡態進行烯丙基化產生支鏈高烯丙基醇(Scheme 1b,path b)。近期,中國科學院蘭州化學物理研究所夏紀寶課題組在可見光光致氧化還原/鎳雙重催化下實現了醛與1,3-二烯的支鏈選擇性還原偶聯(Scheme 1c),該成果發表于ACS Catal.(DOI: 10.1021/acscatal.9b05137)。在可見光光致氧化還原/鎳雙重催化下,作者研究了苯甲醛1與1,3-丁二烯(2)之間的烯丙基化(Table 1)。首先,作者以HE為還原劑時發現,當用NiCl2為催化劑、4,4'-二(t-Bu)-2,2'-聯吡啶(L1)為配體、Ir(ppy)3為光催化劑時,可以中等收率得到高烯丙基醇3且具有優異的支鏈選擇性。通過篩選光催化劑發現,當用Ir[dF(CF3)ppy]2(dtbbpy)PF6時,可以50%的收率得到3(1.9:1 d.r.)。通過篩選鎳催化劑發現,NiCl2·6H2O效果更好,收率提高。另外,配體對反應具有重要影響:用富電子的5,5'-二甲基-2,2'-聯吡啶(L2)時,收率提高且d.r.值類似;用鄰二取代的6,6'-二甲基-2,2'-聯吡啶(L4)時,未發生反應;用1,10-菲咯啉(L5)和2-(吡啶-2-基)-4,5-二氫噁唑(L6)時,收率降低。通過篩選溶劑發現,THF效果更好,收率與DMF相近,但d.r.值更高。此外,將鎳和配體的催化劑負載量從10 mol%降至5 mol%時,催化效率保持。最后,作者發現該反應在催化量的Hünig堿(iPr2NEt,12 mol%)條件下可以順利進行。確定最佳反應條件后,作者考察了該轉化的適用性(Table 2)。芳香醛和脂肪醛均是有效的偶聯配偶體,可以極高收率(~99%)得到syn-高烯丙基醇。該反應的溫和條件可以耐受OMe、SMe、OCF3、醚、苯酚、CF3和酯等官能團。芳香醛的鄰位、間位和對位取代基對反應收率影響很小,具有空間位阻的2,4,6-三甲基苯甲醛也可以中等收率得到相應的產物。此外,鹵原子在偶聯后完全保留,為進一步衍生化提供了修飾位點。對于雜環結構,雜芳基醛和含雜芳基的烷基醛也是合適的底物。接下來,作者對工業原料異戊二烯的轉化進行了考察,其可與苯甲醛在C2和C3位偶聯以中等收率分別得到29和30,并具有支鏈選擇性。值得注意的是,合成的烯丙基醇30具有優異的d.r.值。此外,2,3-二甲基-1,3-丁二烯也可以與苯甲醛偶聯得到31(66%)。然而,與1-苯基取代的1,3-丁二烯和環己-1,3-二烯偶聯時,未發生反應。為了進一步證明該反應的實用性,作者將其用于天然產物和含有醛基的復雜分子,如將1,3-丁二烯與天然香茅醛或柑青醛偶聯分別得到32和33為非對映異構體混合物。在該還原偶聯中,糖基(雙丙酮叉-D-葡萄糖)也可以耐受(34)。接下來,作者研究了該還原性二烯醛偶聯的反應機理(Scheme 2)。對照實驗表明,沒有配體L2時,未發生反應;當以L2 NiCl2為催化劑時,可以優異的收率得到3,表明配體配位的鎳絡合物是活性催化劑(Scheme 2,eq 1)。隨后,向反應物中加入自由基清除劑(如TEMPO或1,1-二苯基-乙烯)不會抑制反應;在標準條件下,以環丙烷取代的醛35為底物得到直接偶聯產物36而未觀察到開環產物(Scheme 2,eq 2),表明該反應不通過光激發的HE和醛之間的單電子轉移而生成的酮自由基中間體發生。當不存在iPr2NEt時,觀察到痕量產物(Scheme 2,eq 3)。另外,當存在化學計量的iPr2Net而不加還原劑HE時,產物收率中等(Scheme 2,eq 4)。結果表明,iPr2NEt在該轉化中可以起還原劑的作用,但效率較低。因此,可以認為iPr2NEt是HE和光催化劑之間的電子載體。
最后,作者提出了該轉化的催化循環(Scheme 3)。首先,IrIII光催化劑Ir[dF(CF3)ppy]2(dtbbpy)PF6(I)激發產生光激發的*IrIII中間體;*IrIII催化劑(E1/2red[*IrIII/IrII] =+1.21 V vs. SCE in CH3CN)通過iPr2NEt (Eox (iPr2NEt)=+0.65 V)經SET還原得到IrII和[iPr2NEt] ?+,其從HE接受一個電子再生iPr2NEt和相應的HE?+。NiII絡合物經IrII (E1/2red[IrIII/IrII] =-1.37 V vs. SCE in CH3CN)還原得到活性NiI (E1/2red[IrIII/IrII]= -0.68 V vs. SCE in DMSO)和IrIII完成銥光致氧化還原催化循環。NiI從HE?+捕獲氫自由基產生Ni-H和吡啶鎓離子PyH+。1,3-二烯的s-cis構象異構體與Ni-H進行加氫金屬化產生關鍵的anti-π-烯丙基-鎳中間體INT1,其異構化得到syn-π-烯丙基-鎳中間體INT1',然后形成相應的(Z)-和(E)-σ-巴豆基鎳中間體INT2和INT2'。在反應中,大多數情況下觀察到罕見的syn-非對映選擇性,其通過Zimmerman-Traxler過渡態INT3產生,并通過C-C鍵生成得到syn-產物INT4。最后,PyH+對INT4進行質子化得到高烯丙基醇。巴豆基的甲基處于過渡態INT3的直立鍵可以使該基團與醛的取代基之間的gauche相互作用最小化,這可能導致INT3比INT3'更有利,而后者的TS模式導致anti-非對映選擇性。總結:中科院蘭州化物所夏紀寶課題組通過可見光光致氧化還原/鎳催化實現了醛與1,3-二烯之間的首次支鏈選擇性還原偶聯。作者開發了一種新的策略即通過1,3-二烯與由低價鎳和氫自由基氧化加成得到的Ni-H中間體插入產生的π-烯丙基鎳中間體實現支鏈選擇性。在協同催化下,1,3-二烯與(雜)芳基和烷基醛之間的偶聯產生高烯丙基醇,該反應具有廣泛的適用范圍和良好的官能度耐受性。
撰稿人:爽爽的朝陽