
Scheme 1 推測的Nyingchinoids A, B and D生源合成途徑。(圖片來源:Angew. Chem. Int. Ed.)
Nyingchinoids A-H是從Rhododendron nyingchiense中分離得到的一系列化合物。色烯4作為可能的共同生源合成中間體,通過光促[2+2]環加成可得到D(3),但生成A (1)和B(2)的途徑并不是那么明顯。作者推測色烯4和氧氣環加成生成的1,2-二氧六環5可能是并未被發現的合成1和2的中間體。分子內去芳構化切斷弱氧氧鍵生成2,然后親核進攻得到1。
生源合成中,需氧[2+2+2]環加成只被認為發生在Gracilioethers A和H的生物合成中,盡管此反應并未成功應用在此天然產物分子的全合成中。其他含1,2-二氧六環的天然產物是通過1,3二烯烴和單線態氧氣的[4+2]環加成得到,或者通過自由基串聯加成三線態氧氣得到。
Gollnick團隊曾報道富電子烯烴光催化需氧[2+2+2]環加成反應方法學,隨后Miyashi課題組報道用雙苯乙烯合成雙環內過氧化物,所采用的光催化劑都是9,10-dicyanoathracene。Yoon課題組采用的Ru(bpz)32+作為光催化劑有效地拓展了反應的底物范圍。Nicewicz使用三芳基吡喃鹽作為光催化劑實現了苯乙烯-脂肪族烯烴的需氧[2+2+2]環加成反應(Scheme 2)。

Scheme 2Nicewicz的光催化環加成-endo型過氧化串聯反應(圖片來源:Angew. Chem. Int. Ed.)
首先通過文獻方法合成色烯4,然后作者嘗試不同氧化條件將其轉化成5。將4置于單線態氧環境中,可惜富電子的色烯部分并未被氧化,而異戊二烯部分被選擇性氧化。然后嘗試將4氧化成苯氧自由基,結果導致原料降解。于是將酚羥基用TBS保護,得到了作者認為可能在光氧化還原條件下會被氧化成正離子自由基的6。作者將Nicewize的需氧[2+2+2]環加成條件改進后(2mol% 4-MeO-TPT photocatalyst, DCE, 0 °C, 1 atm O2, 470 nmLED)來氧化6,二十分鐘后專一得到[2+2]環加成產物8,再用TBAF脫除保護基,以86%的產率得到天然產物Nyingchinoid D (3)。作者發現若將此反應時間延長至7h,則以60%產率得到單一的非對映異構體7。用TBAF脫除7的保護基,則可通過中間體酚氧負離子的分子內的去芳構化以92%的產率得到Nyingchinoid B (2)。再在TFA/DCM條件下通過酸催化重排得到Nyingchinoid A (1) ,產率58%。然后作者嘗試將6一鍋法轉化成1和2,也取得了成功。6到1的轉化生成了兩個環,三個立體中心,四個碳氧鍵和一個碳碳鍵,且伴隨著一個氧氧鍵和一個碳碳鍵的斷裂。

Scheme 3. 仿生合成Nyingchinoids A, B和D(圖片來源:Angew. Chem. Int. Ed.)
作者的實驗清楚闡明了6的[2+2]環加成反應在4-MeO-TPT光催化劑的條件下是可逆的。環丁烷8在此條件下可以以71%的產率得到7,且伴隨著C-11位置相對構型的翻轉,這說明在進行[2+2+2]環加成反應之前,環丁烷已經完全裂解。Yoon在此前的報道中也發現了在強氧化光催化劑Ru(bpz)32+的條件下環丁烷裂解的現象。
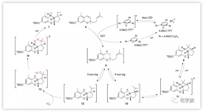
Scheme 4.中展示了6的需氧[2+2+2]環加成機理。首先光催化劑4-MeO-TPT被藍色LED光激發,使其氧化富電子的色烯,產生正離子自由基9,通過5-exo-trig環化產生非對映異構體自由基正離子12和10。非對映異構體10繼續環化,通過中間體11生成環丁烷結構8,是動力學產物。非對映異構體12則不能還原環化,其捕獲三線態氧,通過中間體13和14得到熱力學產物7。隨著時間延長,8又可重新被氧化返回過渡態11,通過逆[2+2]環加成開環,繼而生成熱力學產物7。強氧化能力的激發態4-MeO-TPT+(+1.74 V)被認為氧化8更優于裂環作用。通過密度泛函理論計算模型也支持了上述機理,計算結果認為自由基正離子9的5-exo-trig環化可逆以及7是熱力學產物。

Scheme 4. 推測色烯6生成1,2-二氧六環7和環丁烷8機理(圖片來源:Angew. Chem. Int. Ed.)
作者對比了 Nyingchinoid A (1)和其相關天然產物Rasumatranin D的核磁譜圖,發現報道的結構15不正確(Figure 1),即15中芳香環上取代基的位置和C11位置的構型應該修正為16中的結構,才能與Nyingchinoid A保持一致。H3和H11的耦合常數以及無NOE相關性也證明了16中環連接的反式關系。環丁烷天然產物17和Rasumatranin D同時被分離出來也說明其具有共同中間體色烯,即與Nyingchinoids具有相同的取代模式。

Figure 1. 推測Rasumatranin D的結構修正(圖片來源:Angew. Chem. Int. Ed.)
同樣作者使用相似的方法合成了修正后的結構rasumatranin D (16),首先合成出18,可見光催化需氧[2+2+2]環加成得到19。脫除19的TBS保護基得到中間體20,在TFA催化下得到Rasumatranin D(16),與已報道的天然產物Rasumatranin D結構一致。作者通過合成的方法證明了上述結構修正的準確性。

Scheme 5. 仿生合成Rasumatranin D(圖片來源:Angew. Chem. Int. Ed.)
總結:Jonathan H. George教授課題組成功地通過[2+2]和[2+2+2]環加成仿生合成了Nyingchinoids A, B和D,且修正了Rasumatranin D的結構,同時也發展了將環丁烷轉化成1,2-二氧六環的方法。
撰稿人:暗夜卡賓
聲明:化學加刊發或者轉載此文只是出于傳遞、分享更多信息之目的,并不意味認同其觀點或證實其描述。若有來源標注錯誤或侵犯了您的合法權益,請作者持權屬證明與本網聯系,我們將及時更正、刪除,謝謝。 電話:18676881059,郵箱:gongjian@huaxuejia.cn