天然產物是自生命誕生之初就已經存在的微觀粒子,隨著在地球上演化長達38億年,其龐大的天然產物分子庫向人類展示出化學結構復雜多變,數量豐沛、功能多樣等迷幻神秘的一面。不僅給人類提供了豐富的資源以及無窮的靈感,更重要的是作為一種自然的饋贈,這些分子庫向人類提供了無窮無盡的可能性來發現和制造出藥物以減緩人類遭受病痛的折磨——幾乎在售藥物中一半是使用天然產物為源頭開發的。也正因如此,天然產物全合成不僅僅是有機合成化學家、分析化學家長盛不衰關注的焦點,同時也成為了藥物化學家、生化化學家、醫藥科學家所青睞的研究領域,毋庸置疑,天然產物全合成依舊是當下化學領域“傳統而前沿”的最活躍學科之一。然而傳統的天然產物全合成大多基于逆合成分析獲得一組反應序列,然后按照既定的路徑逐步轉化到目標結構體?;诖耍恍╉敿獾暮铣苫瘜W家們宣稱,只要給予足夠的資源與時間,人類是可以通過化學合成的手段征服任何復雜度的分子。但這種天然產物全合成的研究模式往往需要多步的實驗操作以及復雜底物的預制備,乃至于合成大師E. J. Corey曾經感嘆“The construction of specific molecules(天然產物)by a single chemical step from constituent atoms or fragments is almost never possible even for simple structures”,即一鍋法直接構筑天然產物是一件極具挑戰性的任務。
自二十一世紀初葉以來,人們在全合成領域中追求極限分子復雜度的研究趨勢逐步發生改變。P. A. Wender教授再次強調了由Hendrickson 教授于1975年所定義的“理想合成”概念,更著重于合成的效率與環境友好性 (Nature 2009, 460, 197)。隨后 P. S. Baran 教授以其多個精巧、迅捷的全合成案例豐富了這一概念 (J. Org. Chem. 2010, 75, 4657)。而近年,由 Clarke 教授提出的“鍋經濟性”為全合成提出了更高的評價標準,其宗旨是“在一鍋中完成整個多步反應轉化” (Green Chem. 2007, 9, 438)。而作為鍋經濟性的“終極目標”,天然產物一鍋全合成油然而生,“類似于在廚房里做菜一樣,合成化學家們希望通過一鍋煮的方法來避免全合成步驟之間的純化從而節省時間和資源,以至于最大限度地減少了容器間物料的轉移” (Angew. Chem. Int. Ed. 2011, 50, 3605)。例如,歷史上,托品酮的首次全合成是通過 20 步的線性步驟來實現的,總收率為 0.75%。顯然,繁瑣的操作和苛刻的反應條件對托品酮的大規模制備以及后續應用開發增添了挑戰。然而,1917年Robinson 教授等人利用多組分串聯反應這一策略,報道了一例三組分反應,使用商業可得的原料,以一鍋一步的方法,42%的收率制備了托品酮 (J. Chem. Soc. 1917,111, 762),極大的提高了合成的效率。至少從三個層面看,一鍋法全合成是具有重要的學科價值的:以最少的合成步驟為特定的天然產物提供簡潔的合成路線;構建具有全新機理的天然產 物衍生物的直接合成方法學;高效建立分子庫來加速分子活性篩選與藥物開發。
然而,從文獻調研來看,關于一鍋法全合成天然產物的研究尚處于探索初期,報道的例證極為有限,而所報道的一鍋全合成案例也主要依據兩種策略或途徑:(a)一鍋多步全合成,(b)微波輔助的一鍋全合成。在一鍋多步全合成中,需要根據反應的設計將試劑分階段的加入到反應燒瓶中; 反應各階段中可以進行脫溶操作但只在最后一步進行分離操作(Angew. Chem. Int. Ed. 2011, 50, 3605)。2011 年,Hayashi 教授列舉了一鍋多步全合成所要克服的挑戰 (Angew. Chem. Int. Ed. 2011, 50, 2824):各個單元反應中間體的相互干擾、反應條件的不兼容、反應序列與多種副產物的正向增長、溶劑極性的不兼容、以及高活性試劑的使用限制等。比如2005年Horne 教授課題組 (Angew. Chem. Int. Ed. 2005, 44, 3280) 利用一鍋多級策略描述了一個仿生合成的 grossularines-1,一種從不列顛海洋被囊動物 Dendrodoa grossularia 中分離出來,它對對人體腫瘤細胞株有顯著作用的稠雜環生物堿(圖1)。

圖 1
另外也有一些經典的一鍋多步全合成的報道出現,如Loh教授團隊于2009年報道了一例一鍋多步的合成方法,利用醛與醛的等當體,制備了兩個THP-環骨架天然產物:(±)-centrolobine和 (±)-civet cat secretion (Tetrahedron Lett. 2009, 50, 4368)。Chu 教授課題組于2011年報道了一鍋多步合成含喹唑啉骨架的生物堿luotonin A (Org. Lett. 2011, 13, 920)。Hayashi 教授小組于2011年報道了一鍋六步全合成二肽基肽酶 IV(DPP4)選擇性抑制劑 ABT-341 ,總收率高達 63% (Angew. Chem. Int. Ed. 2011, 50, 2824)。
近幾十年來新開發的微波(MW)合成化學技術,代替了傳統的加熱反應,體現出輕便, 溫和,經濟,環保等特點,因此,MW合成化學被稱為“未來的技術”,可能是實現 綠色化學或可持續化學的有效途徑。微波輔助反應的一個優點是反應溫度可以以 10℃/ s 的速度快速提高,不需要將電能轉化為熱能作為繞道。更重要的是,眾多研究案例表明一些通過常規加熱不能反應或收率低的反應可以在微波輔助下順利進行。與傳統的加熱反應相比,采用微波輔助方法可以獲得完全不同的化學選擇性或區域選擇性。機理上,這可以歸因于在微波輔助下反應的過渡態可能與傳統加熱下的過渡態不同,這意味著微波輔助合成給了我們較大的機會來獲得一些非預期的有趣結果。2005 年Liu 教授課題組在微波輔助一鍋法全合成技術方面取得了連續的突破,雜環生物堿三種家族中的十種天然產物可以通過一鍋法獲得。作者相繼研究了微波輔助下一鍋制備喹唑啉-4-酮天然產 物: Glyantrypine,Funmiquinazoline F,和 Fiscalin B (J. Org. Chem., 2005, 70, 6339),生物堿 Sclerotigenin,(±)-circumdatin F和(±)asperlicin C (J. Org. Chem., 2005, 70, 10488),為其家族天然產物(±)Asperlicin E 和(±)-Benzomalvin A提供了方便快捷的合成方法。
客觀的講,無論是一鍋多步全合成,還是微波輔助的一鍋全合成,這些成功的例證尤其是微波輔助的方法不乏具有偶然巧合的因素。如何理性的設計并實現天然產物的一鍋全合成,減少偶然性與運氣性,提升科學的預判能力?這是一個值得深入研究的學術命題。
近些年來,華中師范大學的吳安心教授提出了與“一鍋多步全合成;微波輔助的一鍋全合成”這兩種策略不同的第三條途徑:“自組織一鍋全合成策略(Toward One-pot Total Synthesis of Some Natural Products via Self-Directed Integration of Chemical Reaction Sequences)”,自提出之初就受到了廣泛的關注。
傳統的天然產物全合成是基于人們業已建立的、最基本的無機和有機化學單元反應為前提,提出逆合成分析,為目標分子尋求一組化學反應集合與邏輯演變路線,繼而通過人工分步的合成手段來實現天然產物的合成。而“自組織一鍋全合成策略”是在多條邏輯設計的逆合成路線的基礎上,尋找一條能夠在兼容條件下自序化執行的反應序列,并將其集成在一鍋中進行自組織序列轉化反應,最終構建天然產物或其核心骨架,在表觀上看似是一鍋一個有機反應構筑多個化學鍵的集合體。這一合成策略極大的縮短了合成步驟,并依據理性的邏輯設計來實現人工分步合成到自組織一鍋全合成的跨越(圖2)。

圖 2
我們知道,在傳統的、分步合成天然產物時,其合成路線的設計包含兩種基本的設計策略,一種是直線式的逐步轉化,一種是多路徑匯聚式的合成途徑。業已證明“多路徑匯聚合成策略”,也稱之為“收斂合成策略”被公認為是合成復雜結構體的優勢策略,并呈現較高的合成效率【圖 3】(《有機合成:策略與控制》,王劍波,張艷 譯,Paul Wyatt著, 2009,科學出版社。(b)《有機合成化學與路線設計》,巨勇,席嬋娟,趙國輝 ,2007,清華大學出版社。)。

【圖 3】天然產物全合成路線設計的傳統策略
可以推斷,把人工分步合成天然產物的設計策略借鑒到自組織全合成天然產物的設計策略中來,即我們假設基于有機單元反應的邏輯集成,小分子可以依據這一反應序列的順序,自序化的逐步轉化為結構更加復雜的天然產物目標分子,那么在自組織合成的反應系統中,同樣存在兩類模式——其一是直線式的自組織反應鏈的集成模式(圖 4,a,串級反應模式),其二是收斂式的自組織反應鏈的匯聚模式(圖 4,b同源自分類匯聚;c異源自分類匯聚;d多個串級反應子序列的匯聚)。

【圖4】自分類反應網絡——多路徑反應序列集成模式
顯然,我們可以進一步推論,通過相互不干擾的、自分類的多個反應子序列,歷經自序化匯聚模式——即收斂反應系統,也將是天然產物自組織合成中最有效的模式和優勢策略。但在這種自組織合成的反應系統中,要求每一個反應子序列在同一現場需要具備自我分類鍵合和自我導向匯聚的特性。很顯然,自分類反應網絡是否客觀存在,將是能否成功設計和尋找一個全合成天然產物的自組織反應體系的前提和基礎!
自2013年吳安心課題組首次依據逆合成分析理性設計并集成四個有機單元反應于一鍋,基于自序化的逐步轉化反應成功實現駱駝寧生物堿Luotonin F及其類似物的一鍋全合成(Org.Lett., 2013, 15, 378)以來,又相繼完成了噁唑類(Tetrahedron 2014, 70, 7470)、咔啉類(Chem. Eur. J. 2013, 19, 10132)、吲哚聯噁唑類(Tetrahedron, 2013,69, 22)、雙吲哚類(Org. Biomol. Chem., 2015, 13, 4240)、 片螺素骨架 (Org. Lett.2017, 19, 226)、色胺酮(Org. Lett. 2016, 18, 2942)及吳茱萸堿 (Org. Lett., 2018,20, 6380) 等三十余例生物堿的一鍋自組織全合成,并且完成了一鍋或簡短修飾步驟合成Tryptanthrin, 2-hydroxy-4,5,6-trimethoxybenzil, Sophodibenzoside F, Sophodibenzoside I (Org. Lett. 2016, 18, 4360) 等天然產物目標分子的研究工作(圖5)。該策略為天然產物的全合成提供了一條全新高效的途徑。相關天然產物方向成果還包含國家專利三項,以及“一鍋合成天然產物”方向的國際相關專著一部(Multicomponent Reactions: Synthesis of Bioactive Heterocycles ISBN 9781498734127-CAT#K26349, CRCPress, Chapter 8 One-Pot Total Synthesis of Bioactive Natural Products)。

圖 5
下面簡要介紹近年來吳安心教授在“自組織一鍋全合成策略”合成天然產物方向的部分研究成果。
(1)串聯四步單元反應基于“自組織一鍋全合成策略”構筑駱駝寧生物堿Luotonin F。
吳安心課題組2013年報道了駱駝寧生物堿Luotonin F及其類似物的一鍋全合成(Org.Lett., 2013, 15, 378)。駱駝寧生物堿Luotonin F是從駱駝蓬中分離得到的一類具有治療風濕,炎癥,膿腫等良好藥物活性的生物堿,基于其良好的生理活性,人們發展了眾多多步合成Luotonin F的方法。在1999年,Nomura報道了Luotonin F首次全合成,通過3-甲?;偷寮t酸酐為底物,6步合成,總收率為6.5%; 在2002年, Argade 報道一種三步合成Luotonin F的方法,總收率為37%;在2004年,Ma報道了在預制備起始物后兩步合成Luotonin F的方法,總收率為38%。而吳課題組使用3-乙酰基喹啉以及2-氨基苯甲酰胺在I2/DMSO組合試劑體系介導下,集成碘化、氧化、環化、芳構化四個單元反應于一鍋,成功實現表觀上一步得到駱駝寧生物堿Luotonin F,產率為72%,從原料來源和收率上都呈現明顯的優越性(圖 6)。
前人的合成方法:

吳安心課題組的方法:

圖 6
首先通過逆合成分析尋找新的切斷方式、對應的有機單元反應,以及廉價易得的起始物(圖 7,a);再依據所設計的合成路線,以3-乙酰基喹啉為原料,歷經а-CH的鹵代反應、Kornblum 氧化、與2-氨基苯甲酰胺縮合環化,以及芳構化反應等四個單元反應依次分步合成出中間體并最終獲得駱駝寧生物堿Luotonin F(圖 7,b);然后按照四個單元反應所需要的原料、反應試劑及兼容的反應條件(溶劑、溫度等)于一鍋中,以分步合成所獲得的中間體進行在線比對檢測,證明四個有機單元反應可以自序化的依次轉化,自組織合成出駱駝寧生物堿Luotonin F(圖7,c)。從文獻調研可以看出,這是首例基于逆合成分析的理性設計獲得一組反應序列,并成功實現自組織合成天然產物的反應。

圖 7
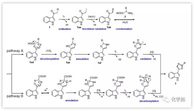
(2)串聯六步單元反應基于“自組織一鍋全合成策略”構筑一個家族的吲哚聯惡唑類生物堿。
吳安心課題組2014年報道了一個家族的吲哚聯惡唑生物堿的一鍋全合成(Tetrahedron, 2014, 70, 7470)。吲哚聯惡唑生物堿是一類具有良好的生物和藥物活性的生物堿家族,例如代表性化合物pimprinine具有良好的單胺氧化酶(MAO)抑制作用,抗癲癇作用,并且在小鼠實驗中表現出了良好的抗帕金森病活性。以往的合成方法通常需要多步,并且產率較低。而吳課題組基于生物源合成,利用“自組織一鍋全合成策略”集成碘化、氧化、縮合、脫羧、環化、芳構化六個單元反應于一鍋之中,成功實現表觀上一步得到吲哚聯惡唑生物堿家族,一共十余種天然產物的一鍋全合成,產率為51—88%,從原料來源和收率上都呈現明顯的優越性,值得注意的是,該工作實現了chiral alkaloid pimprinol A 的首次全合成(圖 8)。該工作使用氨基酸來直接轉化成對應的生物堿這種仿生的全合成可以為其生物合成路徑提供一定的參考意義。

圖 8
首先作者對該類吲哚聯惡唑類生物堿的結構分析,發現其都具有氨基酸支鏈,推測其生物源合成很有可能和氨基酸有關。于是作者利用“自組織一鍋全合成策略”,首先通過逆合成分析尋找新的切斷方式、對應的有機單元反應,以及廉價易得的起始物;再依據所設計的合成路線,以3-乙酰基吲哚為原料,歷經а-CH的鹵代反應、Kornblum 氧化、與氨基酸縮合、脫羧、環化,以及芳構化反應等六個單元反應最終獲得吲哚聯惡唑類生物堿(圖 9)。

圖 9
(3)串聯五步單元反應基于“自組織一鍋全合成策略”構筑一個家族的β-咔啉類生物堿。
吳安心課題組2013年報道了一個家族的β-咔啉類生物堿的一鍋全合成(Chem. Eur. J.2013, 19, 10132)。β-咔啉類生物堿具有良好的生物以及藥物活性,其合成受到了人們的廣泛關注。吳課題組基于“自組織一鍋全合成策略”集成碘化、氧化、縮合、環化、芳構化五個單元反應于一鍋之中,成功實現β-咔啉類生物堿家族的構筑,一共八種天然產物的一鍋全合成,產率為25—86%(圖 10)。該反應的機理是:芳基乙酮經歷碘代、DMSO促進的氧化羰基化得到對應的酮醛類化合物,繼而被色胺原位捕獲,發生形式上的Pictet ? Spengler反應,再經歷原位的氧化芳構化過程,得到了對應的β-咔啉類生物堿以及異喹啉生物堿。該工作為八種天然生物堿提供了最為簡短的合成路徑且令人滿意的產率,同時為該類生物堿提供了一個最為有效的合成方法。并且,經歷簡單的后續衍生化可以得到更為復雜的生物堿Fascaplysin和Papverin。

圖 10
(4)串聯四步單元反應基于“自組織一鍋全合成策略”構筑一個家族的雙吲哚類天然產物。
吳安心課題組2015年報道了一個家族的雙吲哚類天然產物的一鍋全合成(Org. Biomol. Chem., 2015, 13, 4240)。雙吲哚類天然產物具有廣泛的生物以及藥物活性,一些雙吲哚類天然產物具有抗癌、抗菌活性。傳統構筑雙吲哚類似物的方法是基于吲哚對醛的反應,然而對于一些雙吲哚類天然產物,特別是一些酯類結構上述方法就比較難得到。已報道的文獻有通過三步轉換的方法,先對醛雙吲哚化,隨后還原、酯化得到對應的雙吲哚產物;還有通過六步反應,從吲哚環的構筑以及后續還原酯化得到。而吳安心課題組的方法是使用氨基酸與吲哚,通基于生物源合成,利用“自組織一鍋全合成策略”集成脫羧、脫氨、吲哚化、再次吲哚化四個單元反應于一鍋之中,成功實現表觀上一步得到雙吲哚天然產物家族,一共七種天然產物的一鍋全合成,產率為45—86%,從原料來源和收率上都呈現明顯的優越性(圖 11)。該工作使用氨基酸來直接轉化成對應的生物堿這種仿生的全合成可以為其生物合成路徑提供一定的參考意義。
前人的合成方法:

吳安心課題組的方法:(one-pot, one-step, 45-86% overall yield)

圖 11
(5)串聯四步單元反應基于“自組織一鍋全合成策略”構筑吳茱萸生物堿。
吳安心課題組2018年報道了吳茱萸生物堿的一鍋全合成(Org. Lett., 2018, 20, 6380)。吳茱萸堿是從植物吳茱萸中提取出來的一種喹唑啉并咔啉骨架的天然生物堿,它也是中藥吳茱萸中的一味重要藥材。因其在抗炎、抗肥胖等方面有著一定的藥物活性,這一包含優勢吲哚骨架的多環結構受到了廣泛關注,大量的研究集中在探究發掘吳茱萸堿及其類似物所具有的重要的生物及藥物活性上。此前,文獻報道吳茱萸堿的合成方法大多都是采用分步合成,它們大致可以分為兩大類,如圖 12所示:a) 優先構筑C環;b) 優先構筑D環。例如:色胺和甲酸乙酯反應通過加熱回流及氧化過程得到重要亞胺中間體i,優先構筑了C環,繼而,中間體i又與底物ii或iii通過亞胺酰化構筑吳茱萸堿(圖 12(a),(b));抑或是首先通過構筑中間體iv,后續通過發生TFAA促進的Pictet ? Spengler反應而實現C環的后續構筑,從而合成吳茱萸堿 (圖12(c))。其他合成方法采用類似策略,通過預制備靛紅酸酐的各種前體來得到目標產物 (圖12(d))。

圖 12
作者在此基礎上,采用廉價易得的原料,發展了一種更簡潔快速的方法完成了吳茱萸堿及其類似物的一鍋一步全合成 (圖12(e)):底物1a與2a經過親核反應脫羧得到的中間體4被原甲酸三乙酯捕獲,生成環狀中間體7,再經過消除反應及后續的Pictet ? Spengler反應得到目標產物吳茱萸堿,即實現了一個串聯的酰胺化/脫羧/消除/Pictet ? Spengler反應過程,集成了對于C環和D環在一鍋中的連續構筑(圖13)。此反應普適性良好,為后續制備相關的生物堿家族提供了新的有效的合成策略。

圖 13
(6) 串聯四步單元反應基于“自組織一鍋全合成策略”構筑1-脫芳基片羅素骨架。
吳安心課題組2017年報道了1-脫芳基片羅素骨架的一鍋構筑,隨后經過簡單的轉化可以分別以50.7%和24.5%的收率得到片羅素骨架和天然產物片螺素G三甲基醚(lamellarin G trimethyl ether)(Org. Lett. 2017, 19, 226)(圖 14)。片螺素天然產物生物堿最早是由Faulkner教授等人于1985年首次在軟體動物前鰓蟲片螺屬中分離得到的。此后,相繼有50多種片螺素家族產物從諸如海鞘、海綿等海洋軟體動物體內分離得到。這一類天然產物具有廣泛的生理藥物活性,具有廣譜的抗腫瘤特性,還可作為微管蛋白聚合抑制劑,眾多相關結構的衍生物被作為臨床試驗藥物。目前,其合成方法的研究也是研究者關注的熱點結構體之一。國內外已經有二十多個課題組對相關骨架報道了全合成的方法,吳安心課題組提供了一條路線最短產率較高的方法,為該類天然產物的全合成提供了一條高效快捷的方法。相關工作還申請了專利(201610978895.5),具有一定的實用性。

圖 14
吳安心教授簡介:

吳安心,華中師范大學教授,博士生導師。1985年于蘭州大學化學系獲得學士學位。1988年于中國科學院蘭州化學物理研究所與西北師范大學聯合培養獲理學碩士。1988年至1994年,在蘭州大學醫學院藥學系任教。1997年于蘭州大學獲得理學博士學位,師從潘鑫復教授。1997年09月至2001年03月,在香港科技大學化學系從事博士后研究,師從戴偉民教授。2001年04月至2003年07月,在美國馬里蘭大學化學與生物化學系從事博士后研究,師從Lyle Isaacs教授。2003年07月在華中師范大學化學學院任教以來,在 J. Am. Chem. Soc., Angew. Chem. Int. Ed., Org. Lett., Chem. Commun., J. Org. Chem., Adv. Synth. Catal., Chem. Eur. J. 等期刊發表研究論文160余篇。主持包括國家自然科學基金重點在內的基金7項。主要的研究興趣點聚焦于小分子碎片集群時的選擇性堆積與選擇性鍵合的行為、規則及原理。
多樣性小分子集群的自分類“self-sorting”現象是近年來所發現的一種新穎分子行為,它是指眾多的小分子構件處在同一現場時,能夠基于化學鍵作用力的大小如強強鍵合和弱弱鍵合的選擇性,從而發生自我分類、自我分形而形成不同的分子堆積體或集聚體,是復雜分子體系中選擇性形成子系統和亞結構時的一種集群行為,也是小分子集群復雜化學體系中多個亞單元具有高度區別自我與非自我能力的自分類聚集現象。吳安心課題組圍繞“分子集群自分類行為”這一研究命題開展了持續十余年的研究,從“self-sorting”相關概念的定義和課題的明確提出(Angew. Chem. Int. Ed. 2002, 41, 4028; J. Am. Chem. Soc. 2003, 125, 4831),到一系列分子集群自分類行為的發現,相繼揭示出自分類組裝、自分類識別、自分類等級組裝、自分類重組,自分類共晶等系列現象。同時,將分子集群自分類堆積原理引伸到有機合成反應研究中,提出了多個平行的單元反應集成序列可以自我導向、自分類串級、并自序化匯聚轉化成為目標結構體的假說,并基于自分類反應網絡的合成設計策略展開經典碳雜環結構體合成方法的建立和實現一系列天然產物分子的自組織全合成等一系列研究。
隨著小分子集群復雜化學系統中自分類現象的發現和相關概念的確立,逐步深化演進到多個研究層面,很快就獲得國際學者的廣泛關注、研究和認同(“this phenomenon of self-sorting has been extensively investigated in hydrogen-bonded assemblies by Wu, Isaacs, and co-workers” Chem. Rev., 2006, 106, 3669; “In recent years, the more general term self-sorting has been largely accepted by the scientific community” Chem. Rev., 2011, 111, 5784),成為近年來具有廣泛學術影響的新的分子行為,其概念和研究被快速的推進到眾多的學科研究中,并成為超分子化學、表面化學、高分子 化學、材料化學、生物化學及物理學等領域中的一個重要學術分支和新的生長點,相關學者指出自組裝、模板合成、自分類是近二十年來指導超分子化學研究的幾個重要原理和概念!( “For more than two decades, supramolecular chemists have generated supramolecular structure with the help of concepts such as self-assembly, templating and self-sorting.” Chem. Soc. Rev. 2015, 44, 779),認為自分類“self-sorting”集成原理已經成為實現復雜超分子結構體合成的廣泛策略(“Integrative self-sorting: a versatile strategy for the construction of complex supramolecular architecture” 同時評價課題組及合作者在自分類研究領域做出了里程碑式的貢獻,被譽為“ landmark paper”(Org. Biomol. Chem. 2012, 10, 4652)。
聲明:化學加刊發或者轉載此文只是出于傳遞、分享更多信息之目的,并不意味認同其觀點或證實其描述。若有來源標注錯誤或侵犯了您的合法權益,請作者持權屬證明與本網聯系,我們將及時更正、刪除,謝謝。 電話:18676881059,郵箱:gongjian@huaxuejia.cn