湯平平課題組曾用銀催化實現了芐位C-H活化合成芳烴的二氟甲基化,該反應被證明經過了芐基自由基中間體過程。受這一結果啟發,本文作者試圖嘗試使用新型三氟甲氧基化試劑(TFMS)來實現芐位C-H鍵的直接三氟甲氧基化。如Table1所示,本文作者首先使用4-甲基-1,1’-二苯(1a)與TFMS(2)為模型底物來優化反應條件。通過催化劑篩選發現AgOTf是最好的催化劑,使用該催化劑可以以67%的產率得到目標產物3a,而不加銀鹽則無目標產物生成(entries 1 to 6)。
此外,配體對該反應的進行也非常關鍵,1,10-鄰二氮雜菲-5,6-二酮做配體的產率最高,而不加配體的條件下產率僅有12%(entries7 to 9)。同時,本文作者還篩選了不同的氧化劑,發現最佳氧化劑為K2S2O8。使用Na2S2O8、選擇性F試劑、PhI(OAc)2替代K2S2O8會使產率降低(entries10 to 12),不加氧化劑則沒有產物生成(entry 13)。隨后,本文作者還對AgOTf的使用量進行了篩選。將AgOTf提升至0.5當量,產率可達76%,化學計量的AgOTf可以讓產率達到80%(entry 14, 15)。但是,因為該反應對底物的電子性質非常敏感,在1個當量的AgOTf條件下產率并不總是高于0.3當量AgOTf條件的產率,因此,本文作者使用了0.3當量的AgOTf進行后續研究。

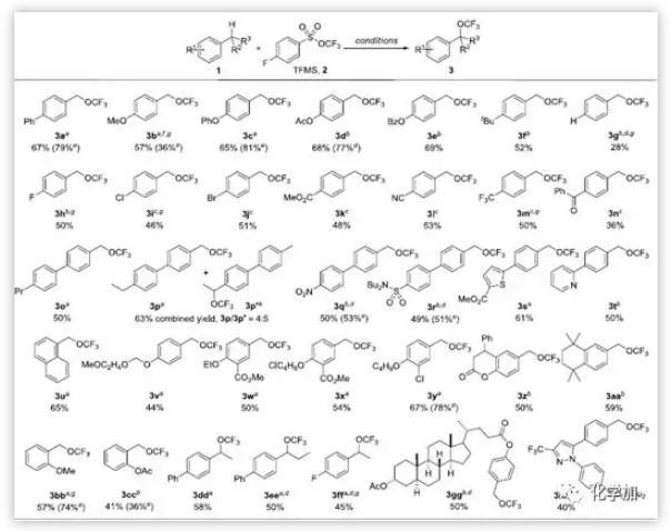
接下來,本文作者進行了Scheme 1所示的底物擴充。不同甲基取代的芳烴(包括具有吸電子、給電子取代的芳烴)均適用于該反應,可以以28%-81%的產率得到相應的三氟甲氧基化產物。但隨芳烴上取代基的電負性不同,反應條件要隨之調整。例如,具有吸電子取代的底物(1i to 1n),化學計量的AgF2做銀鹽最佳。F、Cl、Br、醚、酯、酮、氰基以及磺酰胺基在該條件下均耐受。但羥基、氨基和羧基等具有自由氫的底物不耐受,得不到目標產物。當使用甲苯作為底物,產率僅有28%(2g)。雜環底物(1s和1t)同樣可以反應。
除了甲基,本文作者發現亞甲基(1dd to 1ff)在該條件下同樣可以進行三氟甲氧基化(3ddto 3ff,產率分別是45%,58%)。隨后,本文作者使用1o及1p作為原料來探索此三氟甲氧基化反應的選擇性。對于底物1o,三氟甲基化主要發生在一級芐位(而非三級芐位)。而使用1p作為底物,一級芐位及二級芐位均會發生三氟甲氧基化,比例為4:5。這一結果證明此三氟甲基化反應活性二級芐位C-H>一級芐位C-H>三級芐位C-H。值得一提的是,更為復雜的底物在此條件下也可成功實現三氟甲氧基化(3gg和3hh),并且,使用該條件可以在產率基本保持的情況下實現克級規模合成。例如,產物3e就可以以70%的分離產率克級制備,這充分顯示了該方法的可擴展性。

受以上結果激勵,本文作者繼而關注芐位C-H的雙三氟甲氧基化。意外的,當使用F-TEDA-OTf作為氧化劑,得到的主產物是α-氟代苯三氟甲基醚4,而未生成雙三氟甲氧基化產物。這種同時在一個位置上引入氟原子和三氟甲氧基的方法鮮有報道。目前為止,未有通過C-H活化活化來實現這類轉化的相關報道,因此,本文作者進而對該反應做了進一步探索。
使用優化后的反應條件(40 mol%AgOTf, 10 mol%配體,4當量的TFMS,3當量的F-TEDA-OTf,4當量的CsF,DCM,40 ℃,15 h),產物4b的產率可以達到68%。其他供電子取代的甲苯在此條件下也可以得到相應的F、三氟甲氧基同時取代的產物(Scheme2)。但具有吸電子和電中性的取代基的甲苯作為原料不能發生該類反應,可回收到80%以上的原料。值得指出的是,該反應所得到的產物4很容易在硅膠柱或者氧化鋁柱純化的時候分解產生相應的醛。

接著,作者進行了機理研究。首先,使用化合物1a及其氘代類似物1a’在標準條件下進行動力學同位素效應(KIE)試驗。通過19F NMR分析發現,平行試驗的kH/kD值為1.4,這說明C-H鍵的斷裂在該反應中并不是決速步。其次,當該反應加入1當量的自由基抑制劑——二丁基羥基甲苯(BHT)或1,1-二苯乙烯,則三氟甲氧基化反應不能進行。而且,當使用底物5作為自由基探針,會得到開環產物6(scheme 3a)。這說明該反應體系存在游離自由基。最后,通過Scheme 3b反應證明該反應是通過先先三氟甲氧基化然后進行F代反應。此外,通過19F核磁譜也觀察到了該反應會生成二三氟甲基化中間體,但該類化合物在此反應條件下不穩定,會分解生成相應的醛。

通過機理證明及DFT計算,本文作者提出了scheme 3c所示反應機理。首先,AgOTf在原位經F離子交換得到Ag(I)F,隨后在氧化劑作用下氧化生成Ag(II)F2。然后,Ag(II)F2與TFMS作用生成FAg(II)OCF3,該化合物可氧化芐位C-H鍵產生芐基自由基II。最后,芐基自由基II與FAg(II)OCF3反應生成目標產物(path B)。此外,DFT計算還發現芐基自由基II可以被FAg(II)OCF3氧化產生芐基碳正離子III(path A),該碳正離子也可被OCF3離子捕獲得到目標產物。
總結:湯平平教授課題組首次報道了一種銀催化的芐位C-H三氟甲氧基化反應。該反應使用TFMS作為三氟甲氧基化試劑,官能團的耐受性廣且適合克級規模合成。并且,本文還首次報道了芐位的同時三氟甲基化和F代反應,具有較高的創新性。
原文鏈接:https://doi.org/10.1002/anie.201807144
聲明:化學加刊發或者轉載此文只是出于傳遞、分享更多信息之目的,并不意味認同其觀點或證實其描述。若有來源標注錯誤或侵犯了您的合法權益,請作者持權屬證明與本網聯系,我們將及時更正、刪除,謝謝。 電話:18676881059,郵箱:gongjian@huaxuejia.cn