引言:“一夢多年,三角困境”終得解
含能材料常用于國防、航天、礦業爆破等關鍵領域。一直以來,研究者都希望材料能同時滿足三大理想特性:能量高、感度低、熱穩定性好。然而,就像無法同時抵達三角形的三個頂點,這三者始終難以在一種材料中完美融合。提升能量往往導致感度升高、危險性加大;增強穩定性又常伴隨能量衰減。正因如此,破解這一“三角困境”,被國際公認為含能材料領域的“圣杯”。

圖1. 含能材料性能三角困境
分子設計:高氮雙內鹽,巧解平衡難題
研究團隊跳出傳統思路,摒棄了易導致結構疏松的離子型設計,轉向構建一種新型“平面雙內鹽結構”。該設計具備三大創新點:
高氮骨架:利用氮元素高生成焓、多氣體產物的特性,為高能量奠定基礎;同時,氮原子可形成豐富氫鍵和分子間作用力,顯著提升材料的穩定性;
精巧構型:通過原子級精準調控,實現能量釋放、穩定性和安全性的最優平衡;
簡潔合成:團隊開發出僅需2-3步的高效合成路徑,可規模化制備TYX系列材料,大幅降低產業化門檻。
合成路線:高效、高選擇性
該系列三種化合物均以經典高氮化合物BTATz為共同前體,通過高效、高選擇性的合成路徑制備:首先,BTATz在磺酸烷溶劑中與3,6-雙(3,5-二甲基吡唑基)-1,2,4,5-四嗪發生取代反應,生成中間體2;隨后在磷酸三乙酯與多聚磷酸體系中經高溫環化,得到關鍵中間體TYX-1;最后,TYX-1分別經濃硝酸硝化(得TYX-2)或過氧化氫/鎢酸鈉氧化(得TYX-3),以較高收率(78%–85%)獲得目標產物。整個路線有效規避了傳統合成中涉及的高危中間體,兼具高效性與安全性。

圖2. TYX-1、TYX-2和TYX-3的合成路線
性能數據:“一骨架、三協同”,鑄就性能新高度
TYX-1:實測密度1.83 g·cm-3,熱分解峰溫達473℃,含氮量高達73%,理論爆速8.6 km/s,機械感度(撞擊感度 > 40 J;摩擦感度 > 360 N)與鈍感炸藥TATB相當。
TYX-2:實測密度2.04 g·cm-3,熱分解峰溫為221℃,理論爆速9.915 km·s?1,機械感度顯著低于CL-20(撞擊感度22.5 J,摩擦感度180 N)。
TYX-3:實測密度1.99 g·cm-3,熱分解峰溫達365°C,感度與TATB相當(撞擊感度 > 40 J,摩擦感度 > 360 N),理論爆速9.315 km·s?1。
通過單晶X射線衍射解析其分子結構與堆疊模式,確認其平面共軛結構與密集分子間作用(氫鍵、π–π堆積)。通過Hirshfeld表面分析和靜電勢(ESP)計算揭示其高頻氫鍵網絡與電荷分布特征。

圖4. TYX-1 (a-d)、TYX-2 (e-h)和TYX-3 (i-l)的分子結構、單晶結構和理化性能數據
理論計算與機理研究
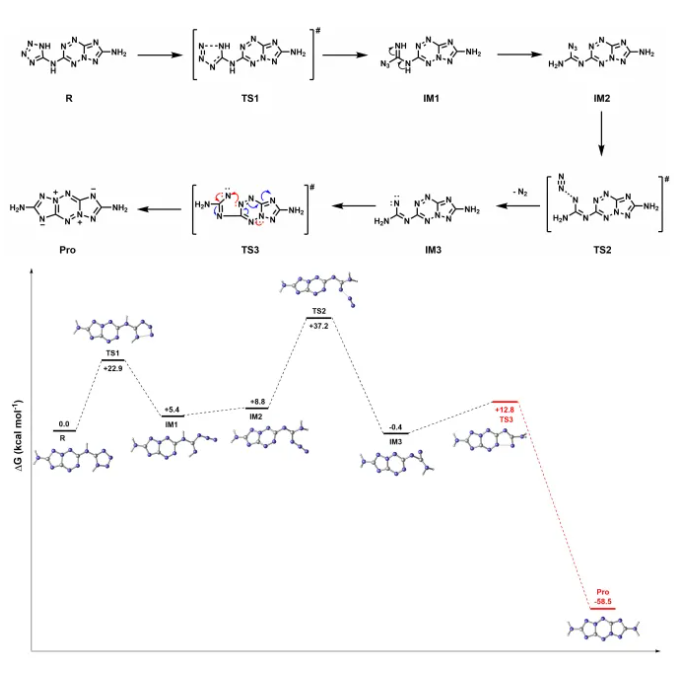
反應起始于化合物R(即化合物2經初次環化所得產物)中四唑環的N-N鍵斷裂,引發五元環開環,并跨越能壘為+22.9 kcal·mol-1的過渡態TS1,形成疊氮中間體IM1。隨后,經由C-N σ鍵旋轉與氫原子遷移協同作用,生成中間體IM2。該中間進一步通過能壘為+37.2 kcal·mol-1的過渡態TS2,發生N-N鍵斷裂,同時釋放一分子氮氣,生成N-卡賓物種IM3。IM3經C-N鍵重排達到最優構象,跨越+12.8 kcal·mol?1的能壘(TS3),完成五元環的閉環,最終以高度放熱的方式生成熱力學穩定性顯著提高的產物Pro(即TYX-1,ΔG = -58.5 kcal·mol-1)。
研究團隊采用DFT計算(M062X/Def2-TZVP)對該環化過程進行了深入解析,清晰揭示了從四唑開環、氮氣逸出到五元環重構的完整反應路徑,凸顯了TYX-1作為熱力學穩定產物的合理性與優越性。

(a) TYX-1環化反應的合理機理;(b) TYX-1環化路徑的自由能分布圖
應用前景:固體推進劑與發射藥配方性能的雙重提升
表1 低特征信號PNMMO推進劑的能量特性參數

表2 (添加RDX、HMX、CL-20或TYX-2的)典型三基發射藥配方及其能量參數計算值.

在PNMMO基固體推進劑和三基發射藥中引入TYX系列含能材料,可帶來多方面的性能提升:
其比沖(Isp)相較于AP基推進劑最高提升35.6 s;
火藥力(Force Capacity)較RDX/HMX體系提高約30 J·g-1;
燃燒產物中氮氣含量高達32.9%,有效抑制燒蝕,延長使用壽命;
爆溫降低超過150 K,顯著增強了熱安全性。
這些優勢共同體現了TYX材料在先進推進系統中的重要應用潛力。
結論與展望
TYX系列材料的成功研制,標志著我國在高性能含能材料領域取得重大原創突破,在國際上首次實現了“高能-低感-耐熱”三重性能的協同提升,從根本上解決了長期制約該領域發展的核心瓶頸。其性能優勢源于創新的分子設計與電子結構調控,融合高氮含量、平面共軛及多重氫鍵網絡等結構特征,從本質上協同平衡了能量與安全性。在固體推進劑和發射藥中的應用表明,TYX材料不僅可顯著提升能量性能,更具備增強熱安全性與延長使用壽命的巨大潛力。該材料可為新一代高能、鈍感、耐熱型武器裝備提供關鍵材料基礎,并在深井超高溫爆破、航天器特種推進等極端環境中展示出廣闊應用前景。隨著合成工藝持續優化與應用研究不斷深入,TYX材料有望快速實現工程化應用,為我國宇航工程、民用爆破技術及國際含能材料發展注入強勁的“中國動能”,顯著推動我國含能材料向高性能、高安全、耐候化方向跨越發展,最終在攻克該領域世界級難題中樹立中國標桿。
文章來源:
Journal of Materials Chemistry A, 2025, 13, 25103-25109.
Defence Technology, 2025, DOI: 10.1016/j.dt.2025.05.024.
通訊作者:譚博軍、劉寧、張根、張慶華
第一作者:譚博軍、竇金康、蘇劍、楊雄、唐長偉
單位:西安近代化學研究所、南京理工大學、西北工業大學、甘肅銀光集團
聲明:化學加刊發或者轉載此文只是出于傳遞、分享更多信息之目的,并不意味認同其觀點或證實其描述。若有來源標注錯誤或侵犯了您的合法權益,請作者持權屬證明與本網聯系,我們將及時更正、刪除,謝謝。 電話:18676881059,郵箱:gongjian@huaxuejia.cn