研究背景
硝基鄰二甲苯是廣泛應用于醫藥、農藥、染料等諸多領域的重要成分和中間體。例如,
·1,2-二甲基-3-硝基苯(圖1.1)是非甾體抗炎藥甲芬那酸(圖1.3)的原料。
·1,2-二甲基-4-硝基苯(圖1.2)廣泛用于生產核黃素(圖1.4),除草劑二甲戊樂靈(圖1.5)和心血管藥物托伐普坦(圖1.6)等藥物。

圖1:硝基-鄰二甲苯及其下游產品的結構
硝基鄰二甲苯主要由鄰二甲苯硝化合成。硝化反應作為十八類危化反應之一,急需新的研究和生產方式的更替。連續流微反應器的高效傳質和換熱的性能,以及在線反應體積小的特點,越來越得到行業的認可,已經成為實現工業化硝化反應的有力工具。
由于鄰二甲苯含有兩個供電子基團,極易發生脫硝副反應,使其單硝化產物收率難以提高到90%以上。單硝基鄰二甲苯是大宗化工原料,全球年需求量超過10萬噸。將產量提高幾個百分點可以顯著降低生產成本,因而,二甲苯硝化的連續流工藝有著重要的意義。
近期康寧同西華大學共同成立“西華大學-康寧反應器技術應用認證實驗室(AQL)”。西華大學引入多臺康寧微通道設備,逐漸建成了西南片區最全的連續流微反應平臺。
在本文中,康寧AQL王周玉教授和宋巧老師團隊通過使用康寧G1-Glass反應器,展示了一種具有高產率和高生產量的鄰二甲苯硝化工藝,同時還詳細研究了該過程的主要雜質。此外,該方法還應用于對二甲苯、甲苯和氯苯的硝化反應。
連續流工藝開發
作者通過初步實驗研究了溫度、H2SO4與HNO3比值、H2SO4濃度和流速等對反應影響較大的參數。

圖2:用于條件優化的連續流反應器裝置
如圖2所示,將H2SO4稀釋至一定濃度并與HNO3混合,制得混酸。然后將混酸和鄰二甲苯泵入連續反應器(康寧AFR G1-Glass反應器,帶有五個標準反應模塊)。將反應溶液收集在容器中。分離有機相,先后用水和鹽水洗滌,然后用氣相色譜法分析樣品。
01
工藝條件篩選
在不同出口采集樣品,表1顯示,延長停留時間在一定程度上提高了轉化率。然而,反應幾乎是平衡的,因為出口III的轉化率與出口IV的轉化率非常接近(表1)。

表1:停留時間對反應的影響
為了打破平衡并實現高產品產率,作者增加了一組反應器9(共有10個反應模塊)。在第六個模塊處將另一股具有不同濃度 H2SO4 和 HNO3的混酸泵入系統(圖5)。

圖5:最優工藝連續流反應器設置
向連續流系統添加混酸明顯促進了反應(表2),當泵B的初始混酸和泵C的補充混酸為70%H2SO4和HNO3/O-xylene = 1.2時,產品收率達到94.1%,目標產物的產能為800 g/h(table2,entry3)。

表2:加入混合酸對反應的影響
作者還進行了混酸初始雙倍流速的比較實驗。結果如表2所示,混酸雙流速直接泵入會 產生更多的硝化產物,導致收率和產物選擇性顯著降低 (table 2,entry 4)。
02
雜質研究
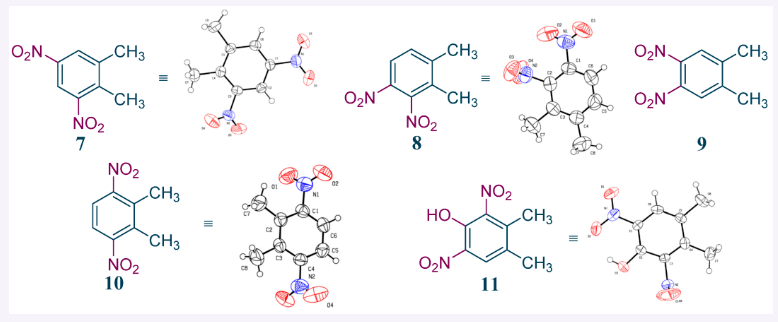
作者還詳細研究了該過程的雜質。先分離主要雜質,通過1H NMR和X射線晶體結構測定鑒定其結構。結果表明,它們都是鄰二甲苯的二硝基產物(圖6,7-10)。

圖6:鄰二甲苯硝化反應中主要雜質的結構
與這種連續過程不同,間歇反應過程中另一種酚類雜質11達到2%(圖6, 11),嚴重影響了產品質量。酚類雜質11可能是由雜質7被HNO3氧化產生的。為了去除它,后處理需要大量的NaOH水溶液,這會產生大量的廢液。
而在連續流工藝過程中,雜質11減少到約0.1%,這使得省略堿性溶液洗滌步驟并減少了廢水排放。雜質11的急劇減少與反應液在G1反應器中反應時間短有關。
03
拓展底物,擴展應用范圍
作者對該連續流過程的應用范圍進行了拓展研究(表3)。

表3:拓展底物的合成
研究結果表明:
對二甲苯轉化為2-硝基對二甲苯,收率為93.8%(表3,條目2)。
甲苯轉化為硝基甲苯,收率為96.0%,主要產品為鄰硝基和對硝基產品。與鄰二甲苯類似(表3,條目1),甲苯在這些條件下table現出較差的區域選擇性(表3,條目3)。
然而,氯苯硝化的情況發生了很大變化。氯苯不僅獲得了97.2%的單硝化收率,而且還獲得了>99%的對選擇性(表3,條目4)。
苯上的輕微吸電子基團環而不是電子供體基團可能是極高選擇性的原因。
研究總結
作者詳細研究了鄰二甲苯及其主要雜質的連續流動硝化工藝。
在這種連續流動氮化工藝的最佳條件下,產品收率達到94.1%,產量為800 g/h。
與間歇法相比,酚類雜質從2%降低到0.1%,省略了堿溶液洗滌步驟,從而減少了廢水排放。
該連續流反應體系適用于多種不同底物,對二甲苯、甲苯和氯苯的硝化反應,該工藝具有重要的工業應用潛力。
參考文獻:
Molecules 2022, 27(16), 5139;
https://doi.org/10.3390/molecules2716513
聲明:化學加刊發或者轉載此文只是出于傳遞、分享更多信息之目的,并不意味認同其觀點或證實其描述。若有來源標注錯誤或侵犯了您的合法權益,請作者持權屬證明與本網聯系,我們將及時更正、刪除,謝謝。 電話:18676881059,郵箱:gongjian@huaxuejia.cn