
(圖片來源:Nat. Chem.)
正文
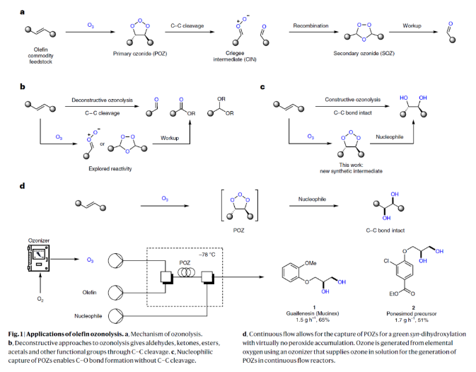
眾所周知,臭氧(O3)可以吸收平流層中的有害紫外線,是人類目前已知最強的氧化劑之一。目前,O3已在工業中得到了廣泛的使用,包括合成活性藥物以及作為消毒劑和除臭劑來使用。在有機化學中,O3主要應用于臭氧分解反應,其可以有效的將石油原料中的烯烴轉化為生物相關的羰基化合物及其前體(Fig. 1a)。由Schreiber等人發展的在C-C鍵裂解后使用添加劑的策略擴展了臭氧分解反應的應用范圍,可以高效實現縮醛、酯類等化合物的合成(Fig. 1b)。雖然烯烴中的C-C鍵斷裂是臭氧分解中較為常見的反應過程,且已得到了證實。但通過化學鍵的構建來提高分子的復雜性是現代合成的目標。在此背景下,利用O3作為反應試劑,在實現烯烴中的每個碳氧化而不發生C-C斷裂的反應過程則更有意義,因為它僅使用臭氧和電即可實現可持續的氧化過程(Fig. 1c)。而烯烴在經歷臭氧化后得到的POZ中間體,則為探索在不發生C-C裂解的條件下實現C-O鍵的形成提供了可能性。最近,美國德州農工大學Andy A. Thomas發展了安全、綠色的烯烴順式雙羥基化反應,其使用烯烴與O3形成的POZ中間體被親核試劑捕獲從而得到雙羥化產物。此外,作者證實了此方法在使用連續流反應器時可以消除過氧化物的積累并可以應用到藥學相關小分子的合成中(Fig. 1d)。下載化學加APP到你手機,更加方便,更多收獲。

(圖片來源:Nat. Chem.)
作者首先對POZs中間體的反應活性進行了探索(Fig. 2)。作者分別利用反式烯烴(反-4-辛烯)、端烯(1-辛烯)以及順式烯烴(順-4-辛烯)在CF2Cl2中,低溫下的臭氧化得到了POZs 1-3,并利用低溫核磁(-130 oC)對其進行監測(Fig. 2a)。此外,作者將溫度升至-80 oC對POZs 1-3的以及動力學數據進行考察,實驗結果得出POZs在合成有用溫度下的壽命是有限的(Fig. 2b)。

(圖片來源:Nat. Chem.)
在對POZs的熱穩定性有了更好的了解后,作者對它們的化學反應性進行了考察(Table 1)。作者設想POZs是否會在C-C裂解前被親核試劑在O-O鍵處捕獲。當使用烯烴 (0.50 mmol, 1.0 equiv.) 溶解在乙醚(5 ml) 中 ,冷卻至-116 °C 與O3反應,隨后加入i-PrMgBr(2.50 mmol, 5.0 equiv.),并用水淬滅可以以中等至良好的產率(31-83%)得到相應的雙羥化產物。此轉化對反式烯烴(3-6)、順式烯烴(7-11)以及端烯(12-16)均可兼容。值得注意的是,對于藥物相關的乙二醇類化合物,如祛痰藥愈創甘油醚(Guaifenesin) 1和治療多發性硬化癥藥物Ponesimod前體2均可利用此策略實現合成,產率分別為65%和63%。

(圖片來源:Nat. Chem.)
雖然臭氧分解廣泛適用于醛、酮、酯、縮醛和乙二醇的合成,但除非該反應能夠在流動化學中實現,否則實現其大規模合成是較為困難的。流動化學通常是在高溫下來實現活性中間體的轉化,因此作者設想是否可以通過設計一個連續流反應器在-78 oC來捕獲的POZs,從而有效的消除過氧化物的積累。此外,通過精確控制溶液的停留時間則還可以避免在連續流動中形成過氧化物。作者首先制備了O3的乙醚溶液,以便控制O3劑量。這樣可以在均相溶液中形成POZs,隨后被i-PrMgBr捕獲(Fig. 3a)。隨后,作者選擇Guaifenesin 1作為模板化合物進行嘗試。基于上述機理分析,作者對流動反應器的反應條件通過少量實驗進行了快速優化,在1.54 g h?1下以65%的產率得到了Guaifenesin 1。此外,在1.7 g h?1下可以以51%的產率得到2(Fig. 3b)。值得注意的是,順式環辛烯可以利用作者發展的流動化學策略以63%的產率得到9(1.3 g h?1)。上述實驗結果均表明POZs可以作為有效的合成前體來實現C-O鍵的構建。

(圖片來源:Nat. Chem.)
總結
美國德州農工大學Andy A. Thomas課題組報道了利用高活性的POZs作為中間體,安全、綠色的實現了烯烴的順式雙羥基化反應。雖然O3和格氏試劑在合成中均被認為是苛刻的反應試劑,但在此體系中連有不同親核性以及親電性官能團的烯烴底物均可兼容,證明了此轉化的實用性。更重要的是,作者利用此方法在連續流反應器中實現了一系列藥學相關小分子的合成,從而可以有效消除過氧化物的積累。
聲明:化學加刊發或者轉載此文只是出于傳遞、分享更多信息之目的,并不意味認同其觀點或證實其描述。若有來源標注錯誤或侵犯了您的合法權益,請作者持權屬證明與本網聯系,我們將及時更正、刪除,謝謝。 電話:18676881059,郵箱:gongjian@huaxuejia.cn