拓展含鈾化合物的應用對于優化貧鈾利用與理解固體中5f電子行為等具有重要意義。鈾具有三、四、五、六等多個價態和化學種態。另外,鈾元素的5f和6d軌道均具成鍵能力,使得鈾元素往往呈現出異于過渡金屬和鑭系元素的獨特性質。近年來,研究人員在單一價態鈾化合物的合成和功能應用方面已取得了眾多進展。例如,UIII化合物具有高效的小分子活化和催化轉化能力;UIV化合物表現出優異的超導性質;UVI化合物是潛在的光功能材料。混合價態鈾化合物結合兩個或兩個以上差異較大的鈾離子,其應用與性質更具潛力。然而,過去二十年內,該領域研究普遍聚焦混合價態鈾化合物制備、配位化學以及電子結構等研究,未見混合價態鈾化合物作為功能材料的相關報道。
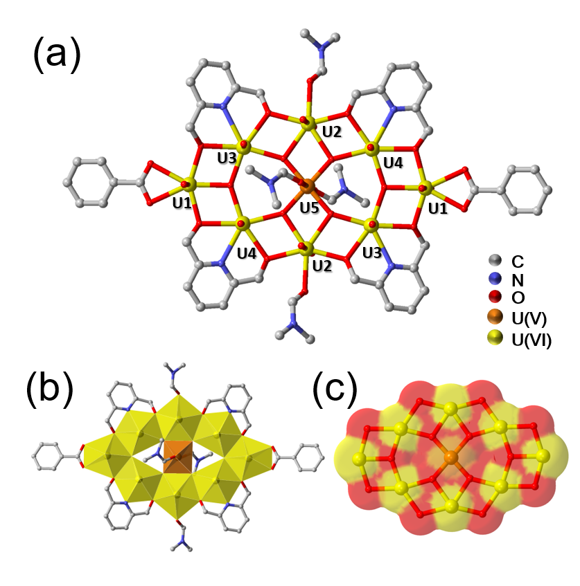
團隊采用了常規溶劑熱法,以硝酸鈾酰、有機硼酸酯和苯甲酸為原料,通過原位還原獲得了一種新的V/VI混合價態鈾簇(1),該化合物是目前最大的基于“tetraoxo核”的混價鈾簇。單晶衍射數據顯示化合物1為九核簇,其中包括一個U(V)和八個U(VI)。U(V)為六配位模式,平面有四個μ3-O原子、軸向為兩個DMF分子提供的O原子,為典型的“tetraoxo核”;其余八個U(VI)為平面五配位、兩個軸向鈾酰氧的五角雙錐構型。

化合物1的電子躍遷譜顯示出五價鈾單電子5f1的特征躍遷。X射線光電子能譜、同步輻射近邊吸收和磁性分析等進一步證明了化合物1中五價鈾的存在。DFT理論計算表明U(V)的電子傳遞性質與實驗電子躍遷譜一致。計算進一步證明U(V)在整個簇中具有供電子特性,這導致化合物1具有n-型半導體特性。同時,U(V)的存在進一步降低鈾簇內部的電荷轉移能壘,促進了化合物1的電荷遷移。這些結果使得研究人員率先發現混價鈾化合物的本征半導體特性。

得益于鈾簇的多核特性,化合物1是目前為止有效原子序數最大的半導體輻射探測材料。進一步通過器件組裝與輻射探測性能評估,研究人員證明化合物1在X射線探測領域具有巨大的潛在優勢。其具有高達500的開關比、可觀的電荷遷移率壽命積(μτ, 2.3×10-4 cm2/V)和高的射線檢測靈敏度(23.4 μC Gyair-1 cm-2)。
該工作首次揭示了混合價態鈾化合物的半導體性質,同時拓展了含鈾化合物的功能應用,為深刻認識鈾化合物的物理特性和開發功能研究提供了新的思路。

博士研究生張明星、碩士研究生梁城瑜、博士后成國棟為本工作共同第一作者;蘇州大學王殳凹教授、王亞星副教授與北京科技大學胡淑賢教授是論文的共同通訊作者。該工作得到了國家自然科學基金重大項目、杰出青年基金、青年基金、國防科工局國防基礎科研核基礎科學挑戰計劃等的經費支持。
論文鏈接:https://onlinelibrary.wiley.com/doi/10.1002/ange.202017298
參考資料
[1] 國重室王殳凹教授團隊在V/VI混合價態鈾簇合物的本征半導體性質和X射線探測應用領域取得創新性進展,http://medical.suda.edu.cn/78/62/c10302a424034/page.htm
聲明:化學加刊發或者轉載此文只是出于傳遞、分享更多信息之目的,并不意味認同其觀點或證實其描述。若有來源標注錯誤或侵犯了您的合法權益,請作者持權屬證明與本網聯系,我們將及時更正、刪除,謝謝。 電話:18676881059,郵箱:gongjian@huaxuejia.cn